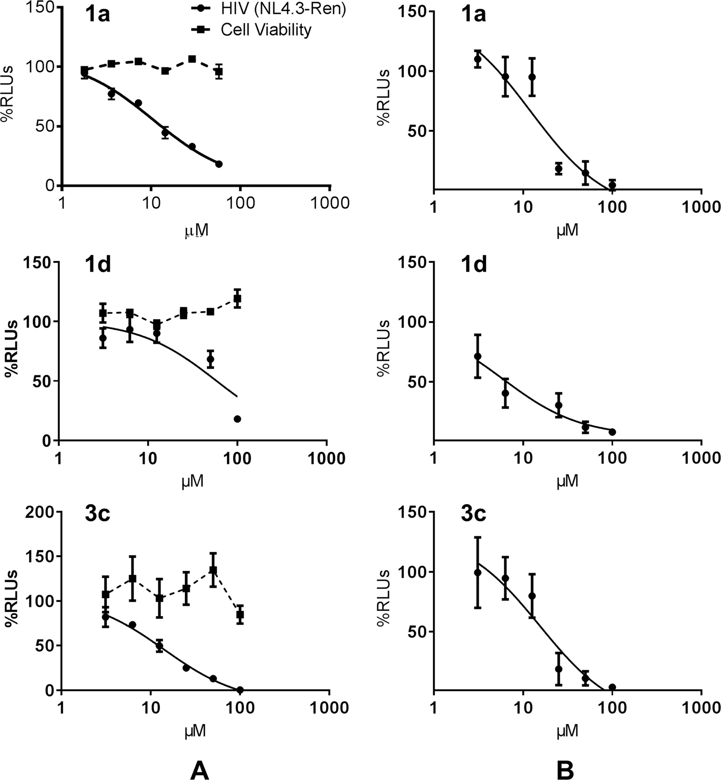
Figure 5

Antiviral activity and cellular toxicity of selected 1,4-terphenyl molecules 1a, 1d and 3c. (A) Antiviral activity in HIV-1 infection assays and cellular toxicity as function of compound concentration. (B) Inhibition of post-integration steps in HIV-1 transfection assays. In all cases, the results are expressed as percentage of relative luminescence units (RLUs), where 100% is the level of viral replication obtained in the presence of the vehicle used to dissolve the compounds.