Figure 2

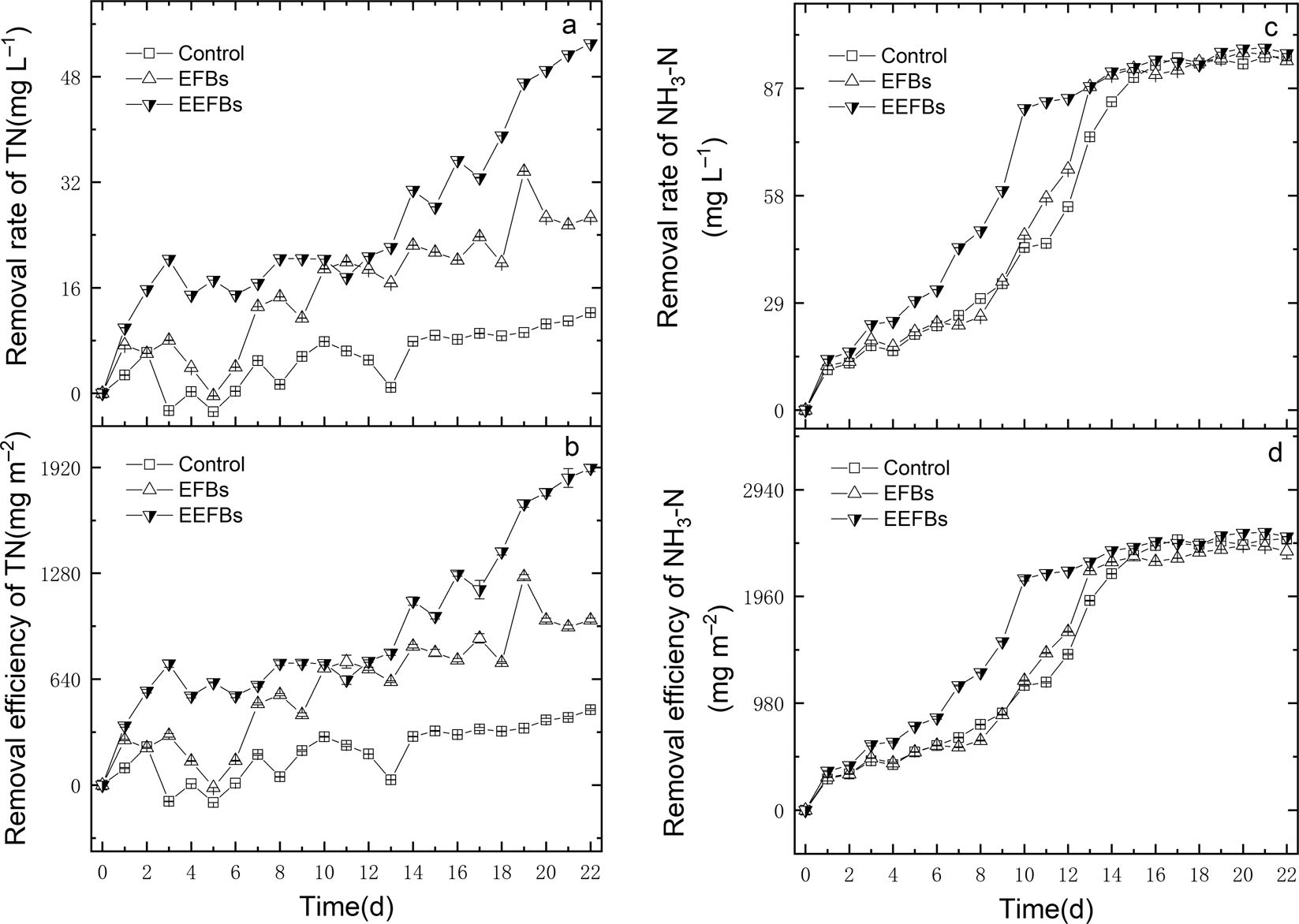
The removal rates and removal efficiencies of TN (a,b) and NH3-N (c,d) in the EEFBs and the EFBs during the purification of eutrophic water, data points represent sample means ± the standard error of the mean.

The removal rates and removal efficiencies of TN (a,b) and NH3-N (c,d) in the EEFBs and the EFBs during the purification of eutrophic water, data points represent sample means ± the standard error of the mean.