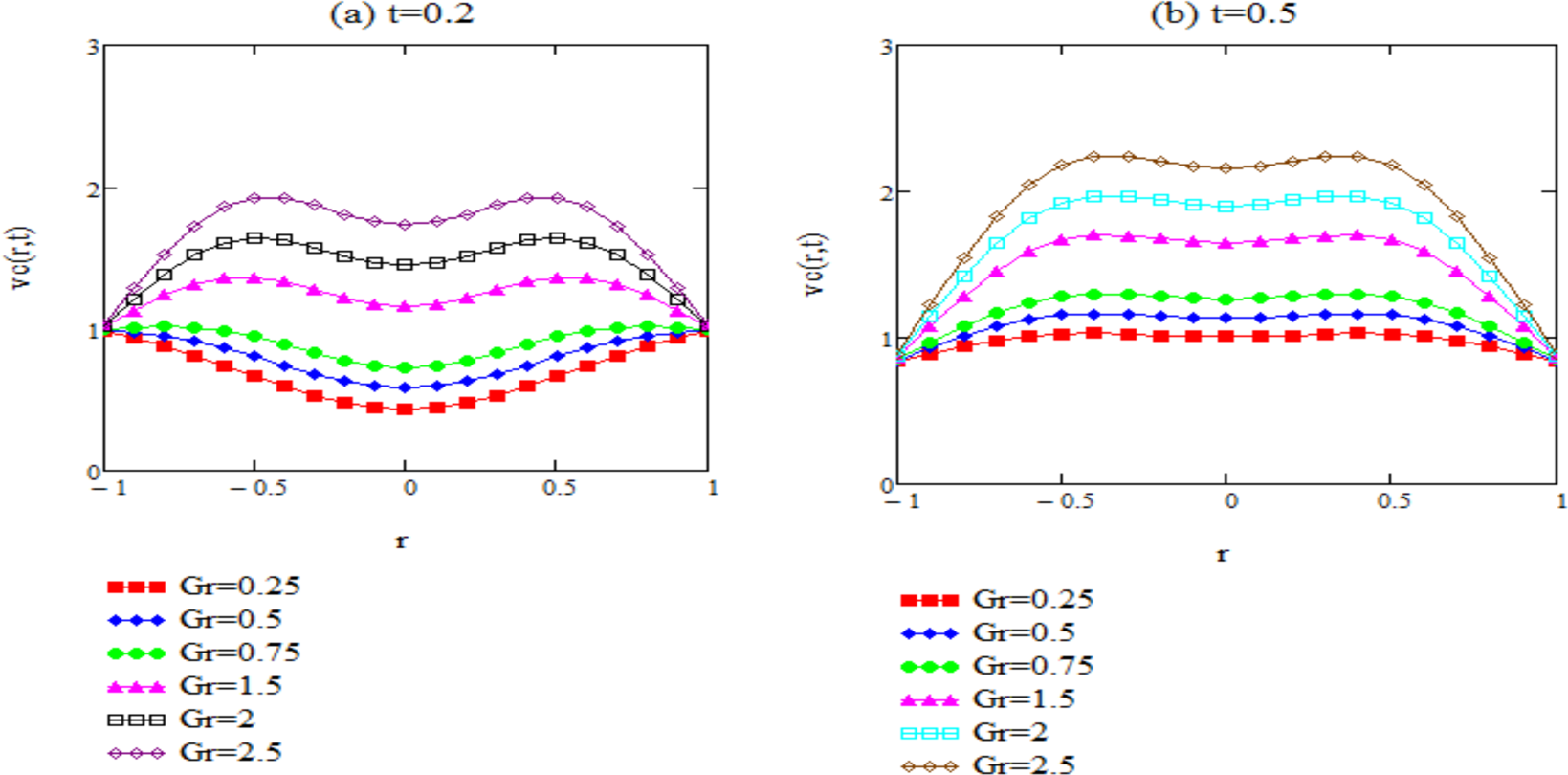
Figure 4
From: Natural convection flow of a second grade fluid in an infinite vertical cylinder

vct(r, t) corresponding to different values of Gr.
From: Natural convection flow of a second grade fluid in an infinite vertical cylinder

vct(r, t) corresponding to different values of Gr.