Figure 7
From: A Micromorphic Beam Theory for Beams with Elongated Microstructures

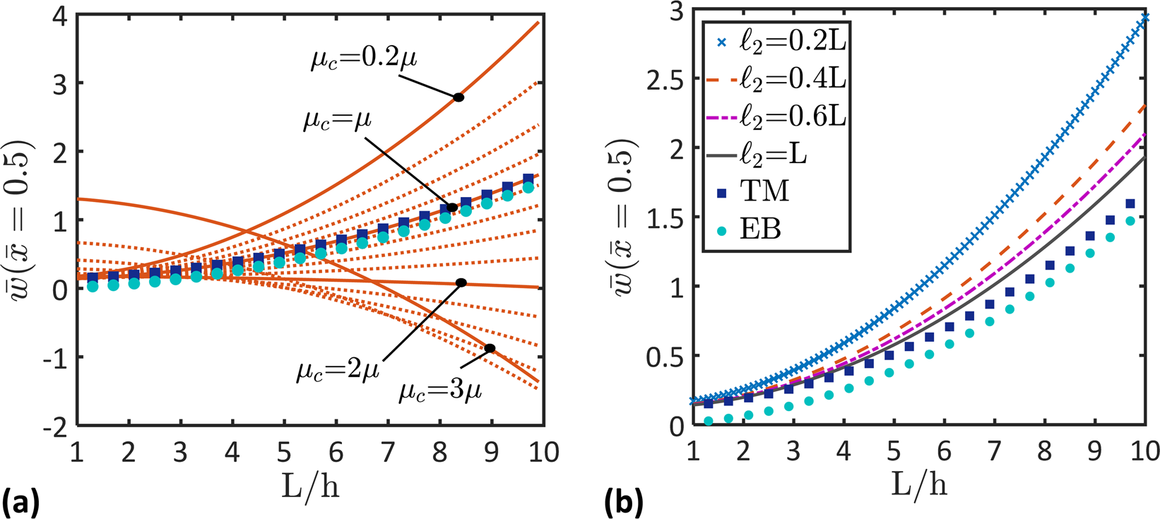
Variation of the nondimensional maximum deflection, \(\bar{w}(\bar{x}=0.5)\), as a function of the length-to-thickness ratio, L/h, for different values of (a) the coupling modulus, μc, (\({\mu }_{m}=0.8\,\mu \) & \({\ell }_{2}=0.8L\)) and (b) the length scale, \({\ell }_{2}\), (\({\mu }_{c}={\mu }_{m}=0.8\,\mu \)). Results of Timoshenko beam theory (TM) and Euler-Bernoulli beam theory (EB) are also depicted. Note that the dotted curves represent the evolution of the depicted parameter, as it changes between the solid curves.