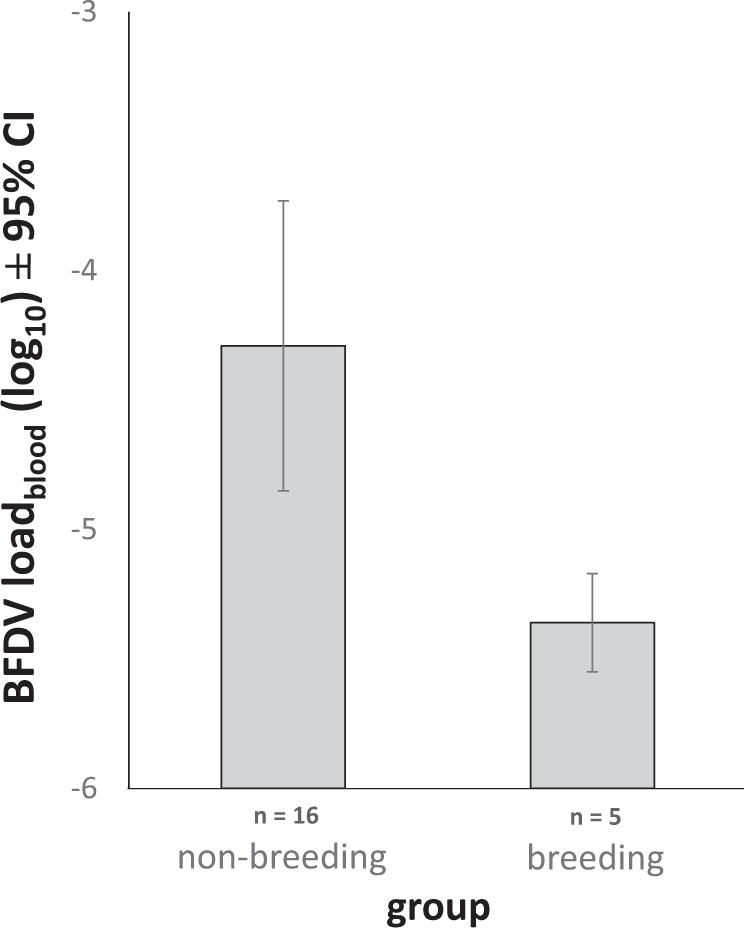
Figure 3

Mean BFDV load, shown separately for non-breeding and breeding birds (‘non-breeding’ denotes birds caught outside the breeding season). Viral load is shown as mean relative gene expression, log10 transformed with 95% confidence intervals. Viral load could not be determined from cloacal swabs, due to low DNA yield. Non-breeding birds shown here consist of 14 young (<3 years) and two older (≥3 years) birds, breeding birds were all young birds (<3 years).