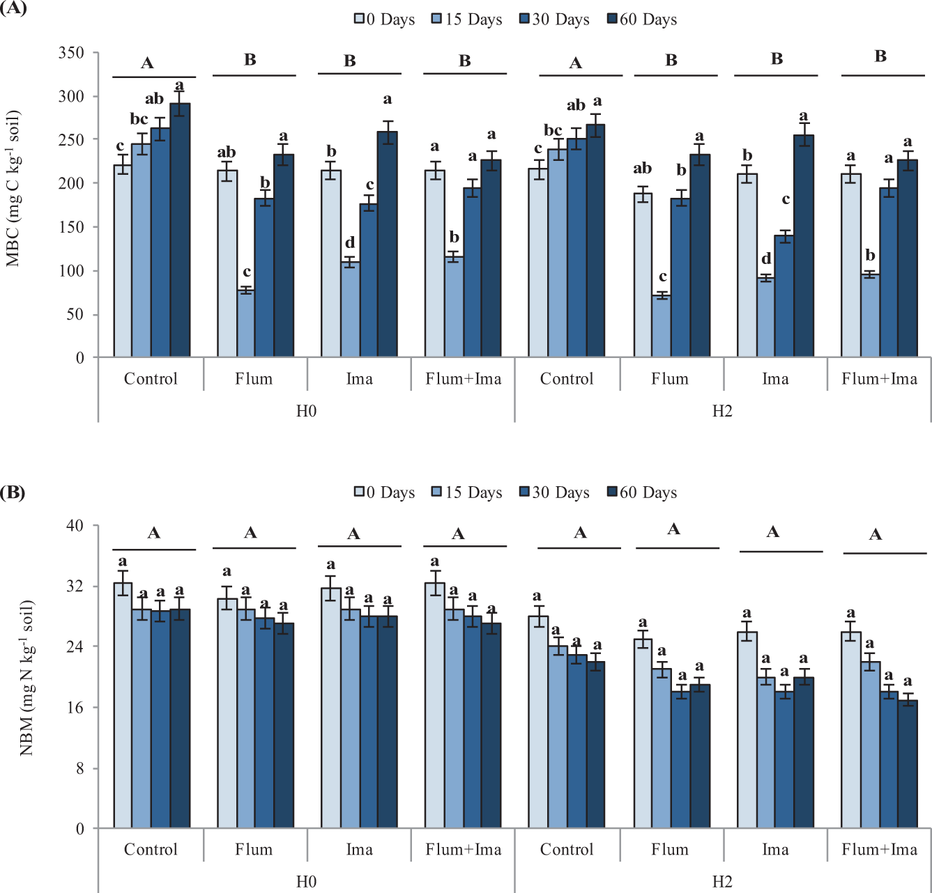
Figure 1
From: Responses of soil microbial biomass and enzyme activity to herbicides imazethapyr and flumioxazin

Microbial biomass C (A) and N (B) in soils, without (H0) and with (H2) history of herbicides application in the field, untreated (control) and treated with Flumioxazin (Flum), imazethapyr (Ima) and their mixture (Flum+Ima), at different incubation times. Bars represent the SD of the mean. The different lower-case letters above the bars indicate significant differences (P < 0.05) between sampling times for each treatment and different upper-case letters above the bars indicate significant differences (P < 0.05) between treatments (mean values) for each soil.