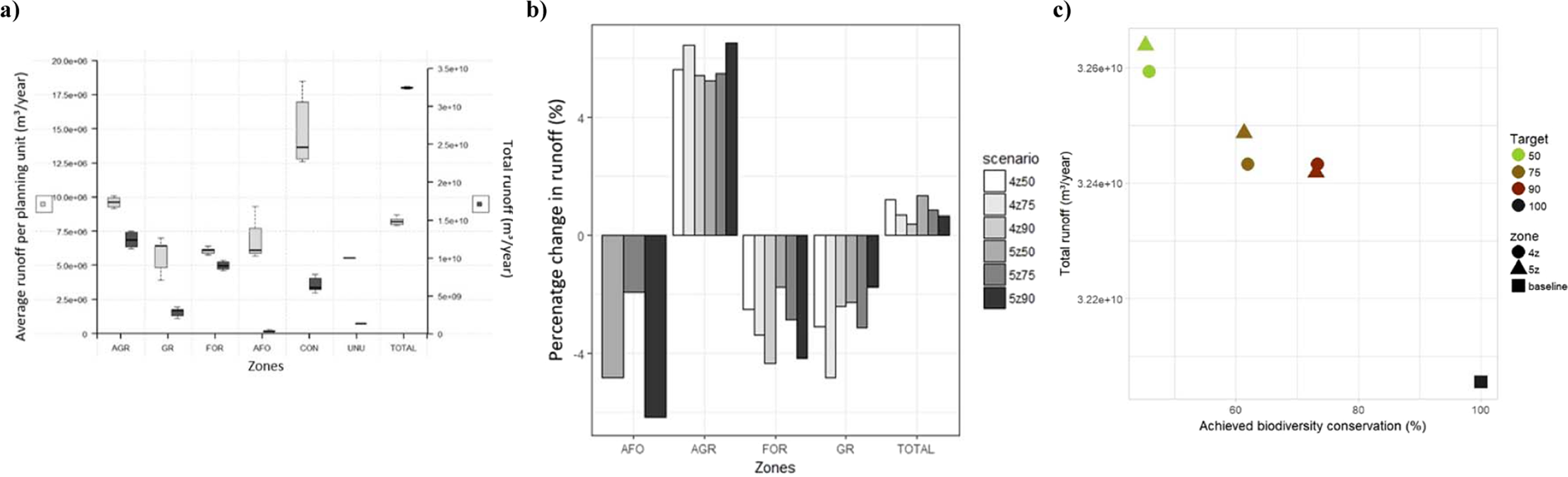
Figure 4

Comparison of runoff values across scenarios and zones and trade-off between erosion and achieved biodiversity value. (a) Average runoff per planning unit (left axis) and total runoff values (right axis) in m³/year, for each zone (AGR = agriculture, GR = grazing, FOR = forestry, AFO = agroforestry, CON = conservation and BARE) and for the entire area (TOTAL) for the zoning plans of six alternative scenarios generated by MarZone. (b) Percentage change in runoff (%) across zones and in the study area compared to the baseline situation. Scenarios refer to the number of zones (4 or 5) and biodiversity targets (50, 75, 90%). (c) Achieved biodiversity value (average conserved percentage across biodiversity features), plotted against runoff values (m³/year) for each zoning plan generated for the six MarZone scenarios and the current situation (baseline).