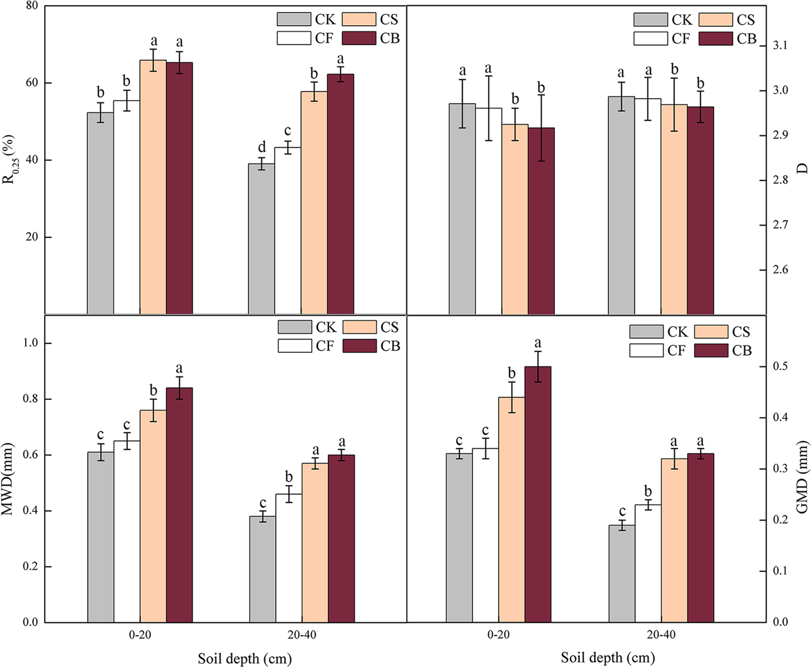
Figure 2

Effects of different treatments on the stability of water-stable soil aggregates (using ORIGIN 9.0, OriginLab Corporation, Northampton, MA, USA). R0.25: soil macroaggregates with a diameter larger than 0.25 mm, MWD: mean weight diameter, GMD: geometric mean diameter, D: fractal dimension. Different letters indicate differences at a 5% level of significance in the same soil depth.