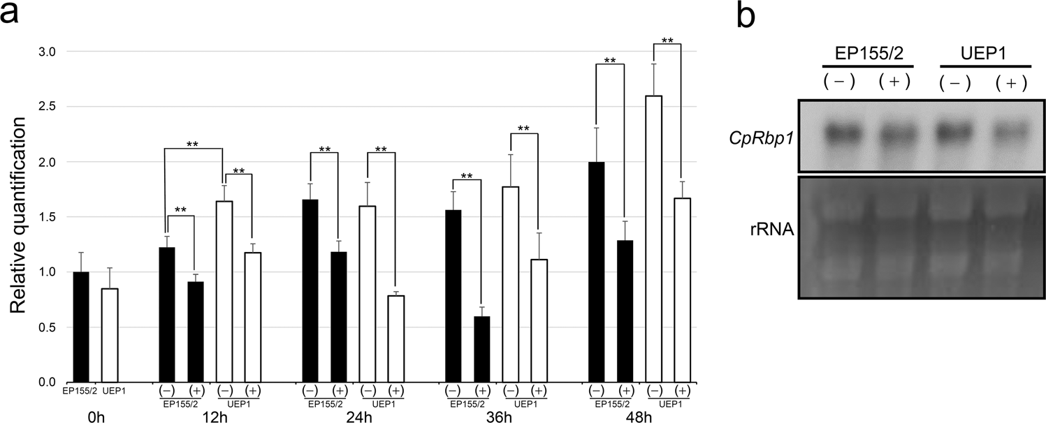
Figure 1

Expression analyses of CpRbp1. (a) qRT-PCR analyses of CpRbp1. Changes in expression of CpRbp1 between the wild-type (EP155/2; indicated as solid bars) and hypovirulent (UEP1; indicated as open bars) strains relative to levels of glyceraldehyde-3-phosphate dehydrogenase (gpd) are indicated; (+) and (–) below the panel indicate with and without TA supplementation, respectively. Error bars indicate standard deviation based on three independent measurements. Numbers at the bottom indicate time after the transfer. ** indicates a significant change at p < 0.01. (b) Northern blot analyses of CpRbp1 in response to hypovirus infection and TA supplementation. Total RNA was extracted from EP155/2 and UEP1 at 24 h after the transfer. Identification of the strains is shown at the top of the lanes; (+) and (–) above the panel indicate with and without TA supplementation, respectively. Equal loading of RNA samples is shown in the bottom panels by the ethidium bromide-stained gel (rRNA).