Figure 6

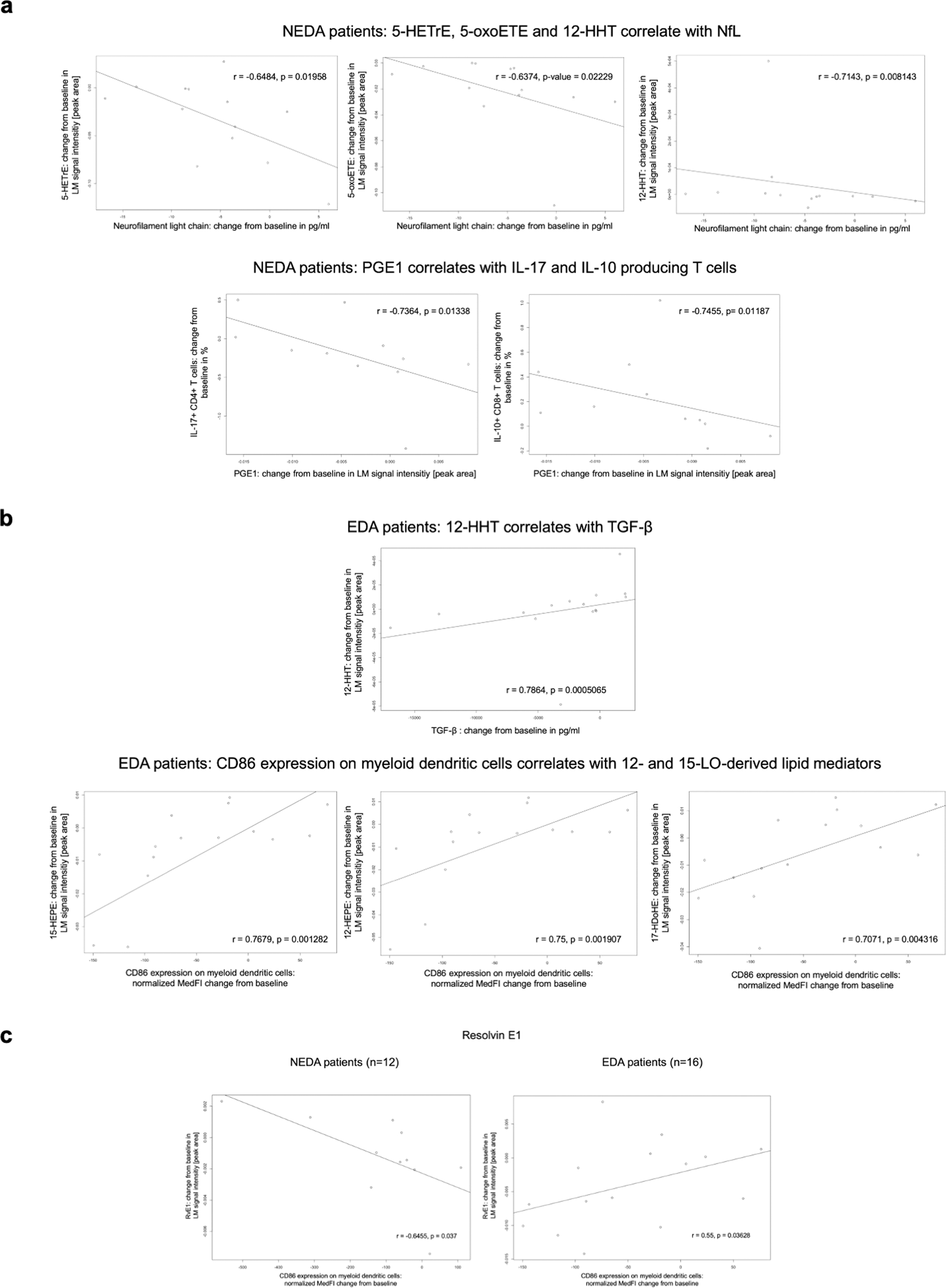
Strongest LM correlations in (a) NEDA and (b) EDA RR-MS patients of the SABA trial; (c) shows the correlation plots for Resolvin E1 in NEDA (left) versus EDA (right) RR-MS patients of the SABA trial.

Strongest LM correlations in (a) NEDA and (b) EDA RR-MS patients of the SABA trial; (c) shows the correlation plots for Resolvin E1 in NEDA (left) versus EDA (right) RR-MS patients of the SABA trial.