Figure 9
From: Ultra-Fast High-Precision Metallic Nanoparticle Synthesis using Laser-Accelerated Protons

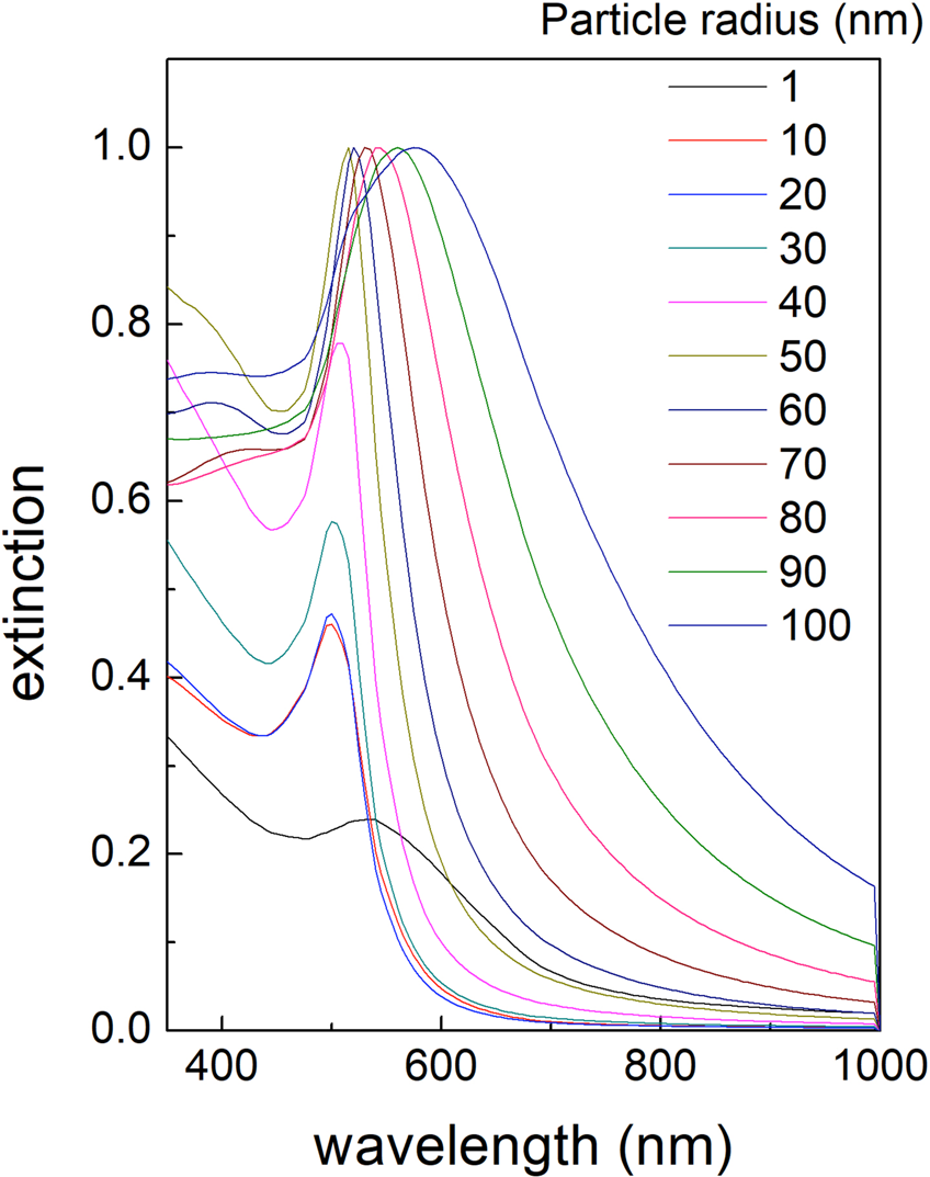
Extinction curves for gold nanoparticles deposited on glass using the Mie theory and Gans corrections.
From: Ultra-Fast High-Precision Metallic Nanoparticle Synthesis using Laser-Accelerated Protons

Extinction curves for gold nanoparticles deposited on glass using the Mie theory and Gans corrections.