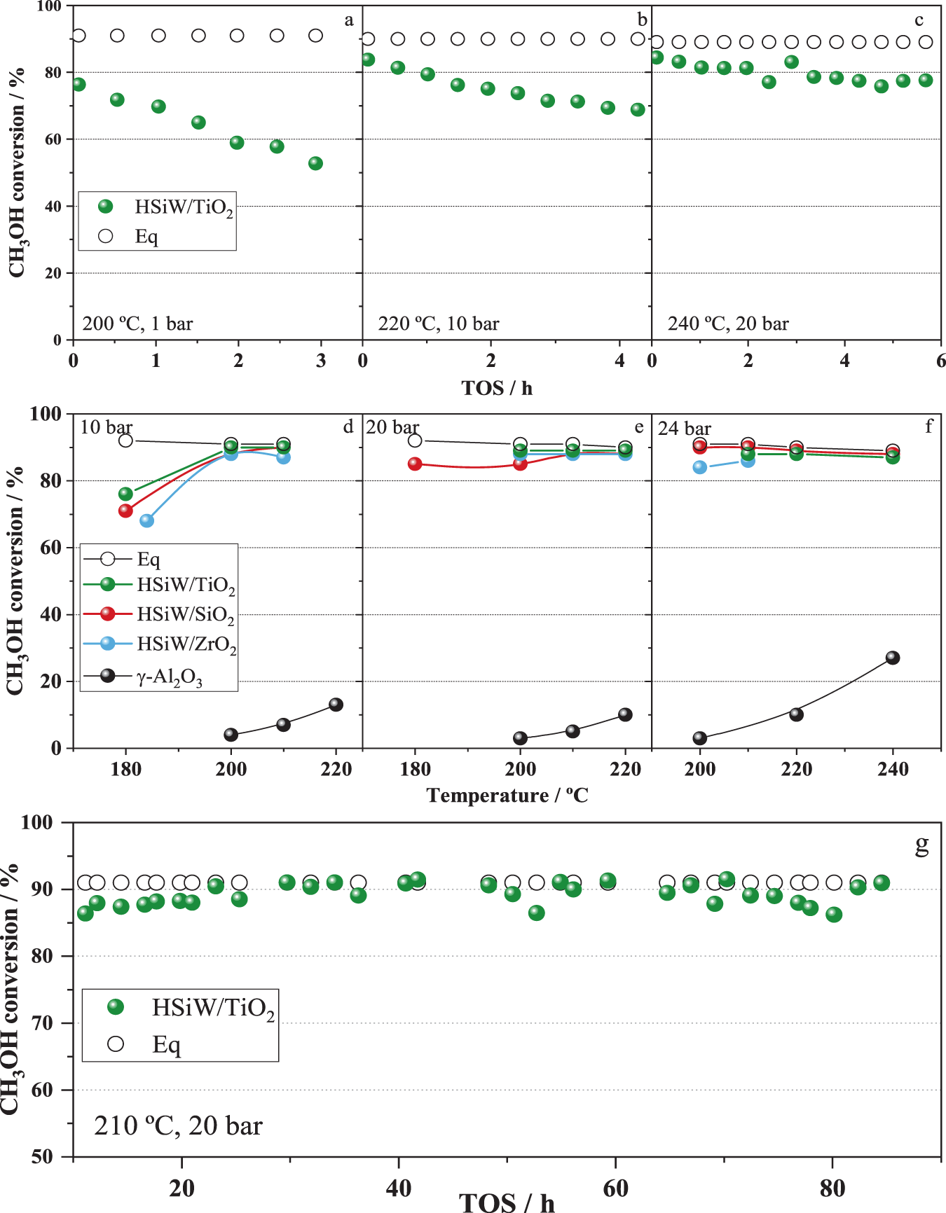
Figure 6

Methanol conversion obtained at different pressures and temperatures with the TiO2, SiO2 and ZrO2 supported HSiW catalysts. Equilibrium conversion and methanol conversion on γ-Al2O3 are shown. Pre-treatment: 1 h under N2 current at 220 °C.

Methanol conversion obtained at different pressures and temperatures with the TiO2, SiO2 and ZrO2 supported HSiW catalysts. Equilibrium conversion and methanol conversion on γ-Al2O3 are shown. Pre-treatment: 1 h under N2 current at 220 °C.