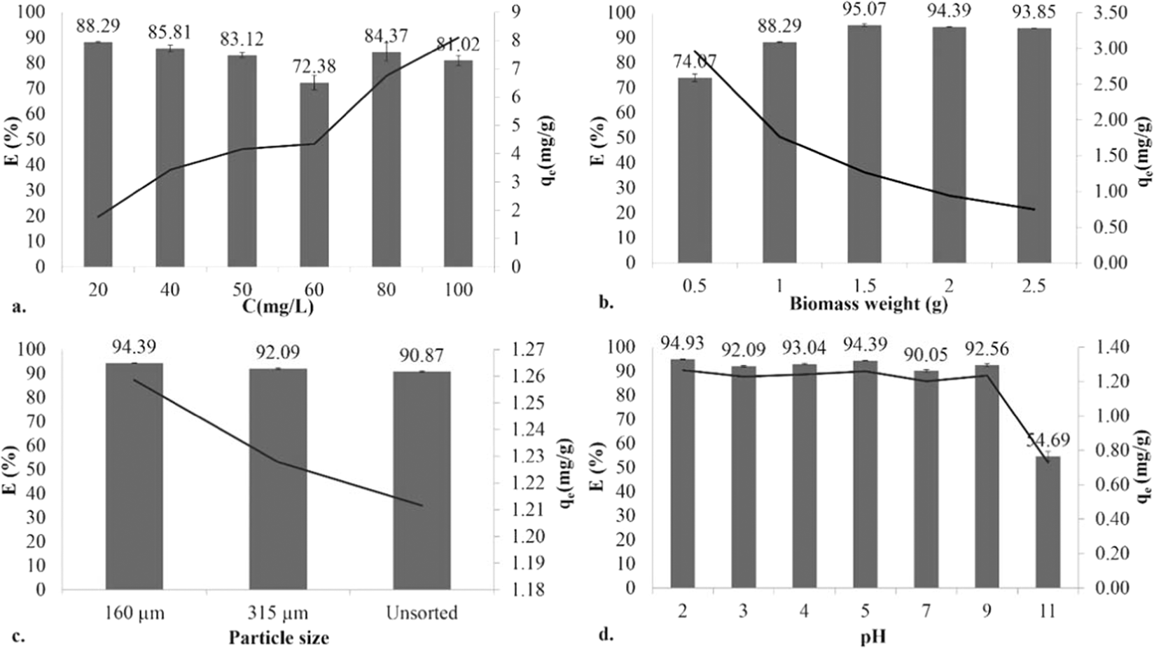
Figure 4

Effect of (a) initial dye concentration (Ci = 20–100 mg/L, 1.5 g biomass, 160 µm, 700 rpm, pH = 6.0 ± 0.2, T = 20 ± 1 °C), (b) biomass weight (Ci = 20 mg/L, 160 µm, 700 rpm, pH = 6.0 ± 0.2, T = 20 ± 1 °C), (c) particle size (Ci = 20 mg/L, 1.5 g biomass, 700 rpm, pH = 6.0 ± 0.2, T = 20 ± 1 °C), and (d) pH (Ci = 20 mg/L, 1.5 g biomass, 160 µm, 700 rpm, T = 20 ± 1 °C), where standard deviations were calculated from measurements from three parallel experiments.