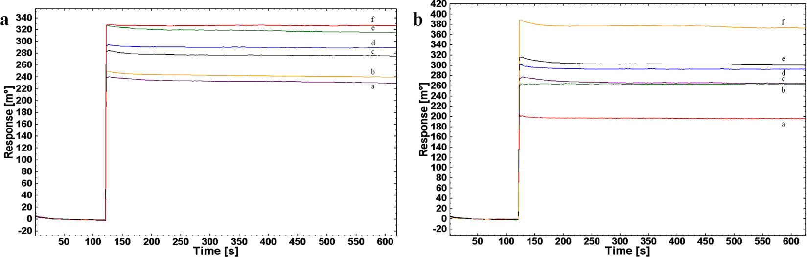
Figure 5

SPR sensor response for interaction of immobilized mice IgG detection Ab with 10-fold serial diluted serum-spiked different concentrations of Brucella WC Ag. (a) Interaction of detection Ab with serum-spiked WC Ag of Brucella abortus S99 at (a) 1:5000 dilution of serum in PBS as an experimental control (b) 102 CFU mL−1 (c) 103 CFU mL−1 (d) 104 CFU mL−1 (e) 105 CFU mL−1 (f) 106 CFU mL−1 and, (b) Interaction of detection Ab with serum-spiked WC Ag of Brucella melitensis 16 M, respectively at (a) 1:5000 dilution of serum in PBS as an experimental control. (b) 102 CFU mL−1 (c) 103 CFU mL−1 (d) 104 CFU mL−1 (e) 105 CFU mL−1 (f) 106 CFU mL−1 in FBS:PBS dilution (1:5000) at RT (25 °C).