Figure 2
From: Saturation of radiative heat transfer due to many-body thermalization

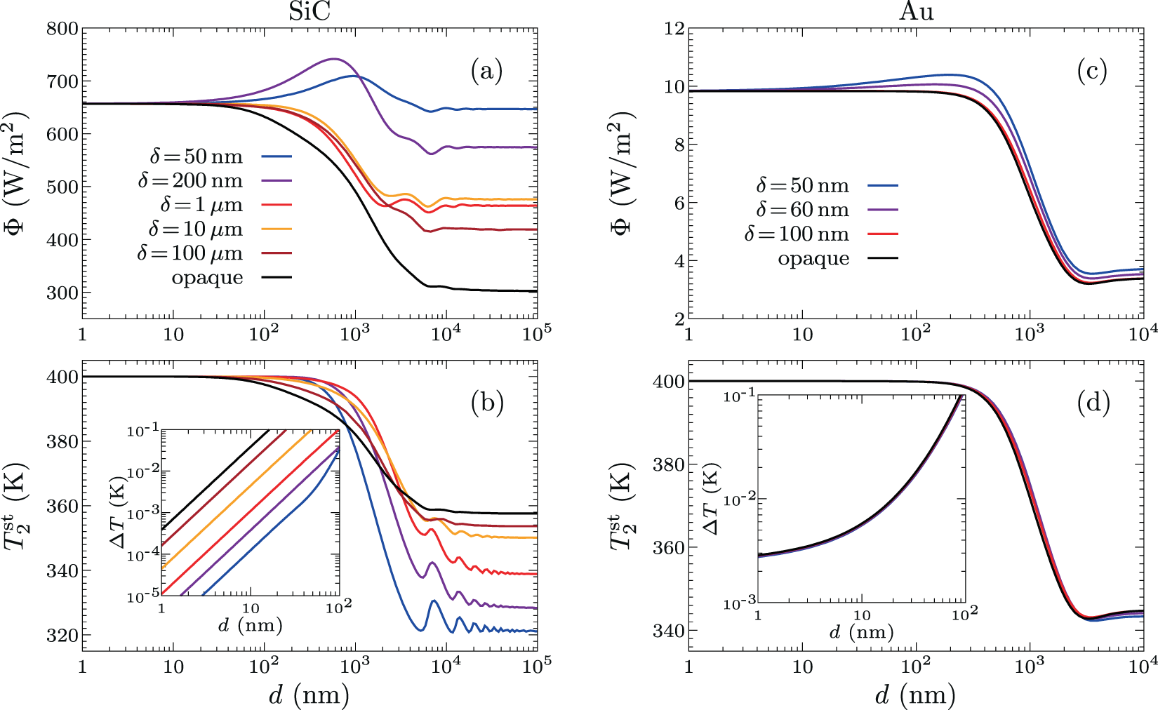
Energy flux and steady-state membrane temperature as a function of the separation distance. The substrate and membrane are made of SiC in (a,b), while (c,d) correspond to Au. Here the substrate and bath temperatures are \({T}_{1}=400\,{\rm{K}}\) and \({T}_{3}=300\,{\rm{K}}\), respectively, and the results are shown for several values of the membrane thickness \(\delta \). The insets show the behavior of \(\Delta T={T}_{1}-{T}_{2}^{{\rm{st}}}\) at small \(d\) (all curves approximately coincide for Au).