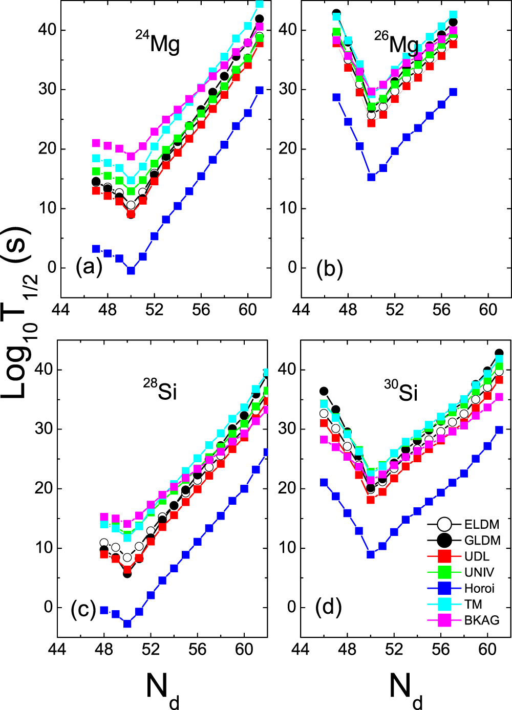
Figure 5
From: Cluster radioactivity of neutron-deficient nuclei in trans-tin region

The half-lives of the 24,26Mg and 28,30Si emissions leading to the daughter nuclei with Zd = 50 within the ELDM, GLDM, UDL, UNIV, Horoi, TM, and BKAG models (formulas) versus Nd.