Figure 6
From: Cluster radioactivity of neutron-deficient nuclei in trans-tin region

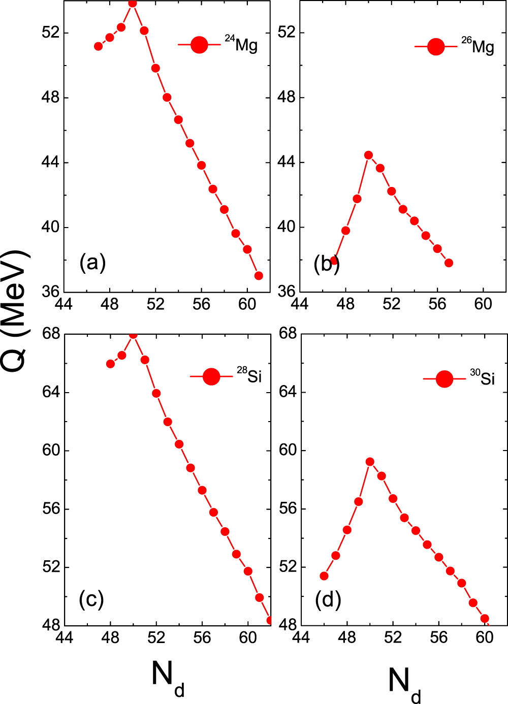
The Q values of the 24,26Mg and 28,30Si emissions leading to the daughter nuclei with Zd = 50 versus Nd.
From: Cluster radioactivity of neutron-deficient nuclei in trans-tin region

The Q values of the 24,26Mg and 28,30Si emissions leading to the daughter nuclei with Zd = 50 versus Nd.