Figure 6

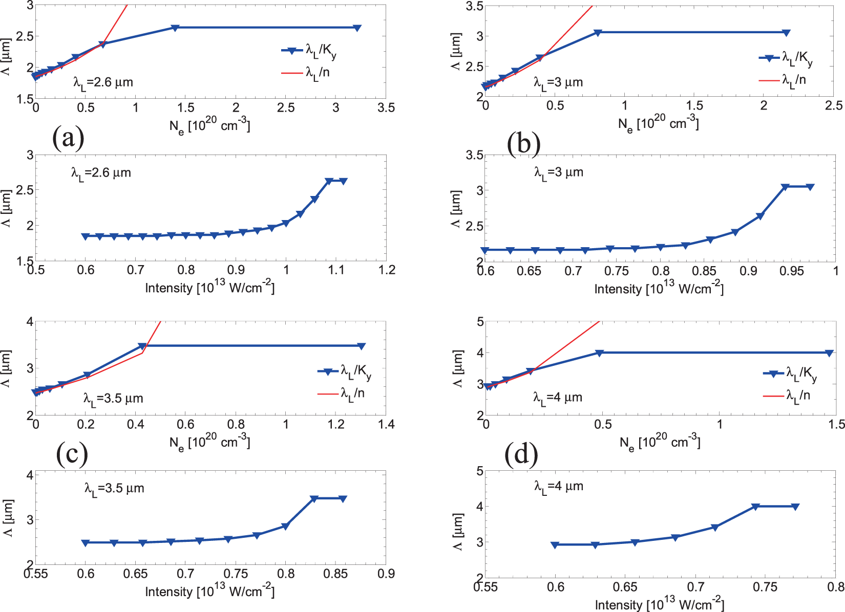
Calculated periodicities of parallel subwavelength LIPSS as a function of electron densities and laser (peak) intensities (λL = 2.6 μm, 3 μm, 3.5 μm, and 4 μm) (τp = 170 fs).

Calculated periodicities of parallel subwavelength LIPSS as a function of electron densities and laser (peak) intensities (λL = 2.6 μm, 3 μm, 3.5 μm, and 4 μm) (τp = 170 fs).