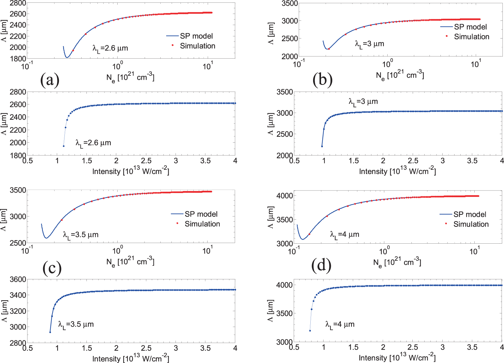
Figure 7

Calculated surface plasmon wavelengths as a function of electron densities and laser (peak) intensities (λL = 2.6 μm, 3 μm, 3.5 μm, and 4 μm) (τp=170 fs).

Calculated surface plasmon wavelengths as a function of electron densities and laser (peak) intensities (λL = 2.6 μm, 3 μm, 3.5 μm, and 4 μm) (τp=170 fs).