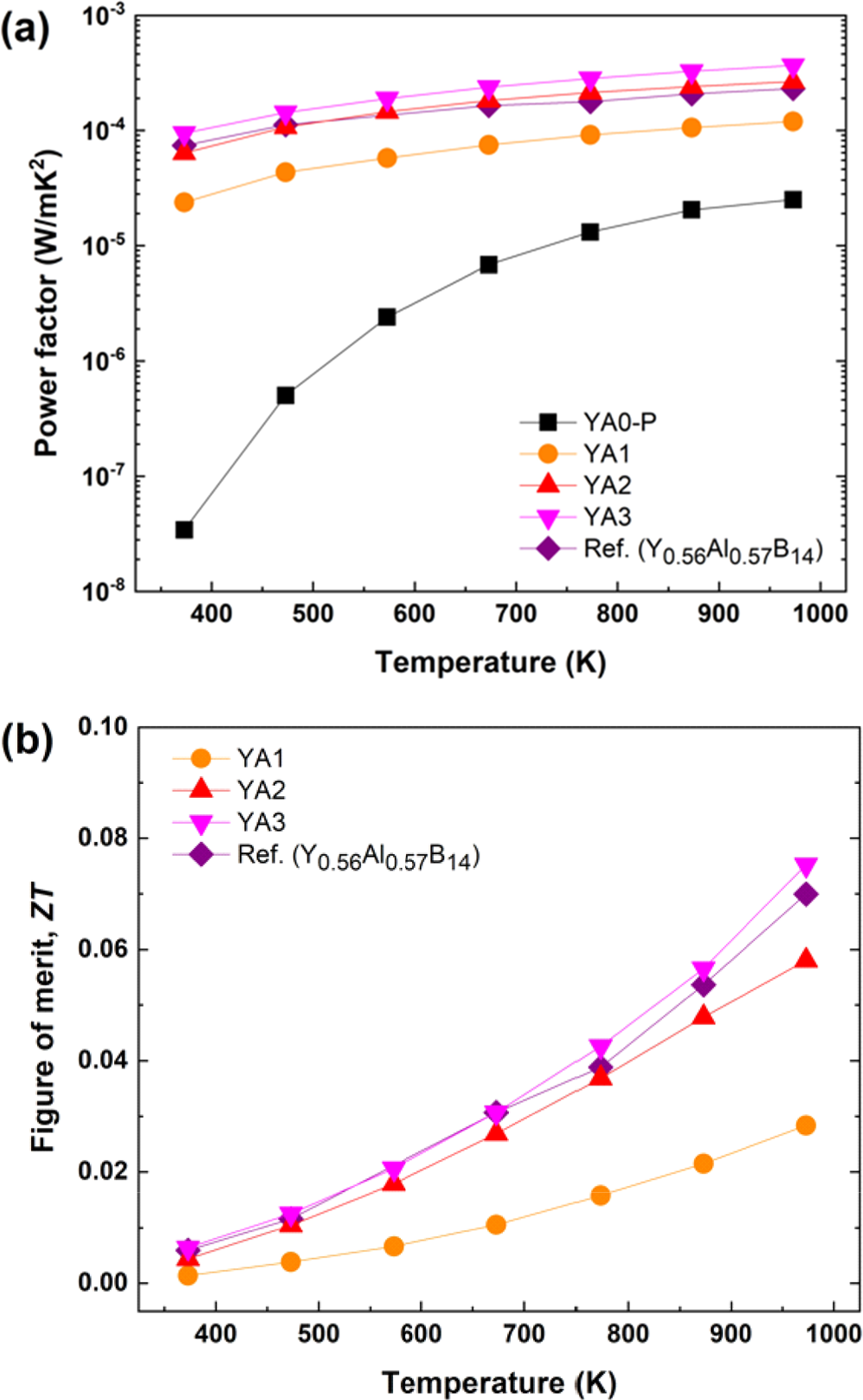
Figure 16

(a) Power factor and (b) figure of merits for YxAlyB14 (x ~0.64) samples prepared by reactive SPS, which are compared with the reported value of Y0.56Al0.57B1444.

(a) Power factor and (b) figure of merits for YxAlyB14 (x ~0.64) samples prepared by reactive SPS, which are compared with the reported value of Y0.56Al0.57B1444.