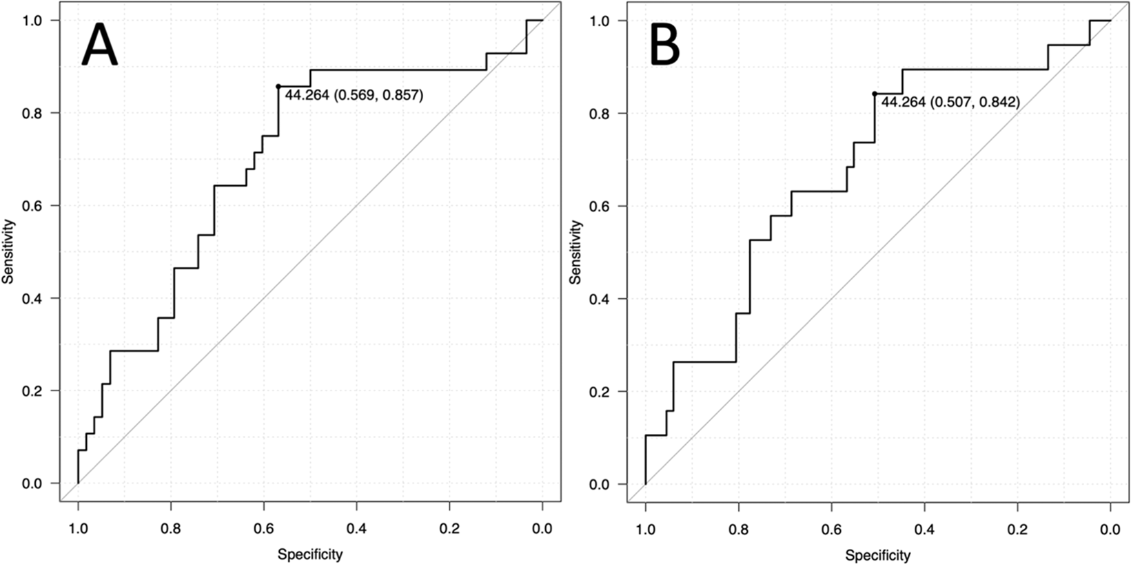
Figure 1

Receiver operating characteristic curve analysis. Diagnostic accuracy is evaluated by the area under the curve for identifying metastasis (A, AUC: 0.700, 95% CI: 0.579–0.822) and DOD (B, right, AUC: 0.682, 95% CI: 0.543–0.820). A cut-off of 44.26 pg/mL results in sensitivity of 85.7% and specificity of 56.9% for identifying metastasis and sensitivity of 84.2% and specificity of 50.7% for identifying DOD.