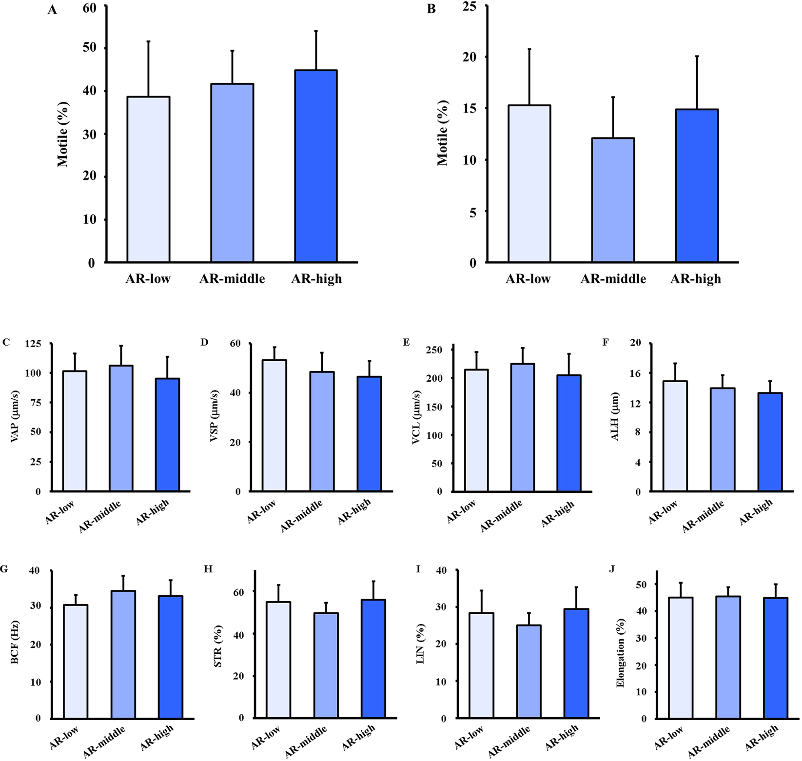
Figure 4

Effect of selection on sperm motility. After selection, sperm motility was analysed using an HTM-IVOS. Motility is the ratio of sperm moving 5 µm/s to total sperm (A). Progressive motile is the ratio of sperm moving at 50 µm/s to total sperm and swith traightness higher than 50% (B). Path velocity (VAP) is the average velocity of the smoothed sperm path (C). Progressive velocity (VSL) is the average velocity measured in a straight line from the beginning to the end of the sperm track (D). Track speed (VCL) is the average velocity measured over the actual point to point sperm track (E). Lateral amplitude (ALH) is the mean wdth of the head oscillation as the sperm swims (F). Beat frequency (BCF) is the frequency of sperm heads crossing the average sperm path in either direction (G). Straightness (STR) is a measure of the departure of the average sperm path from a straight line (ratio of VSL/VAP) (H). Linearity (LIN) is a measure of the departure of the actual sperm track from a straight line (ratio of VSL/VCL) (I). Elongation is the ratio of head width to head length (J). Values are given as the mean ± SD (n = 8-10). *p < 0.05 compared with AR-low.