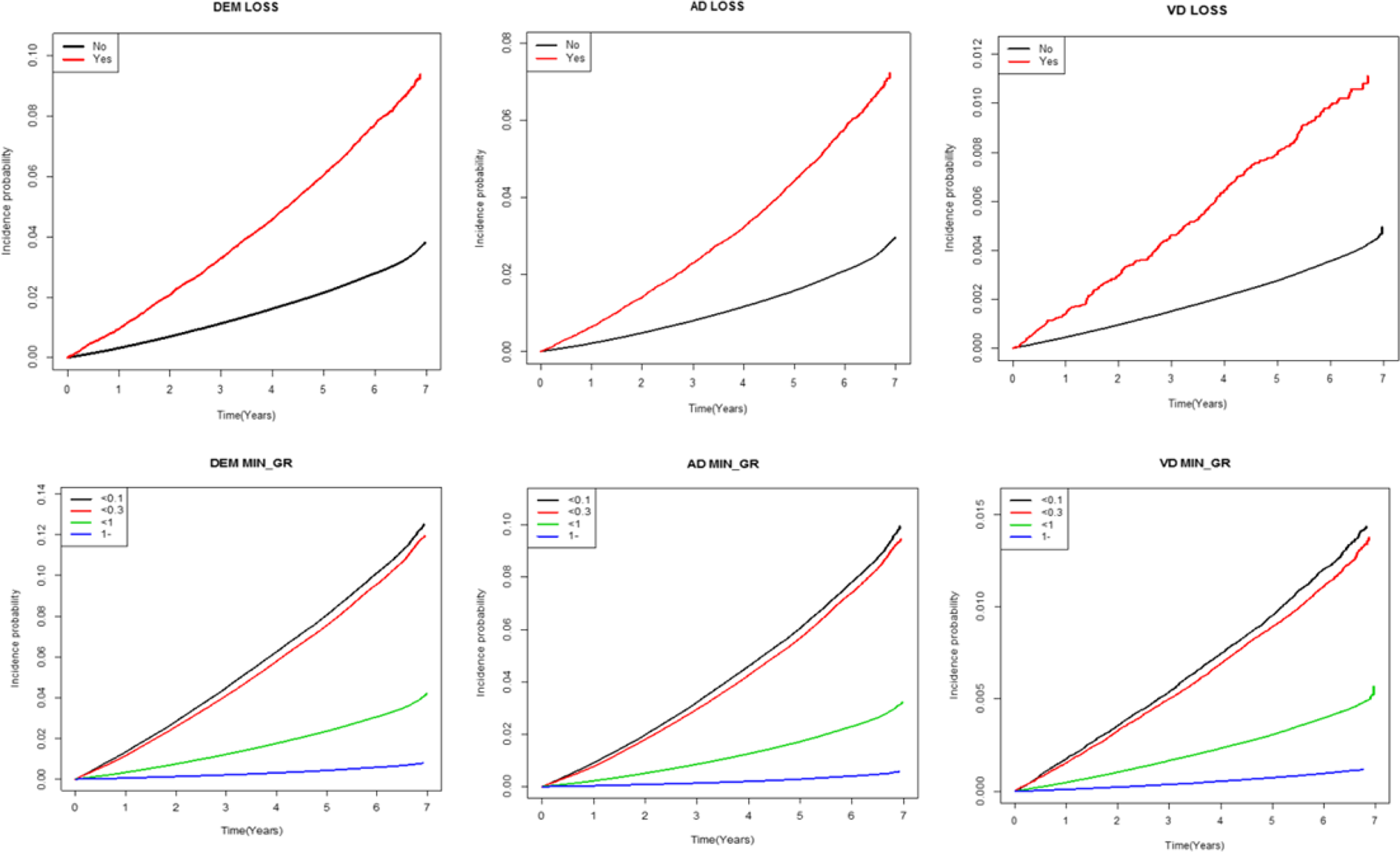
Figure 1
From: Low vision and the risk of dementia: a nationwide population-based cohort study

Kaplan-Meier cumulative probability curve for the incidence of dementia in patients with visual impairments. Dementia means overall dementia and is subcategorized as Alzheimer disease and vascular dementia. The top row (A–C) compares the subjects with visual loss with subjects without visual loss; subjects with visual loss show more increased incidence probability of dementia, AD, and VD than subjects without visual loss. The bottom row (D–F) compares subgroups according to visual impairments, and subjects with more severe visual impairments have more increased incidence probability of dementia, AD, and VD than subjects with less severe visual impairments.