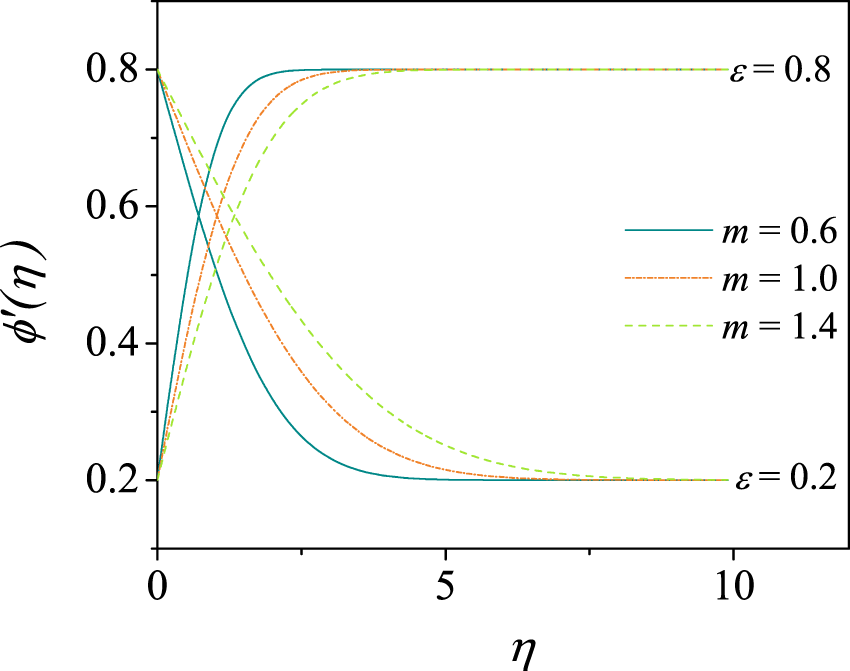
Figure 3

Velocity profiles for the shear-thinning (\(m=0.6\)) and shear-thickening (\(m=1.4\)) boundary layer flow over a moving wedge(or stretching sheet) for \(\varepsilon =0.2\) and \(\varepsilon =0.8\) with \(n=0.5\) demarcated by velocity profiles for the Newtonian fluid flow (\(m=1.0\)). These results are obtained by asymptotic solution (53).