Figure 4

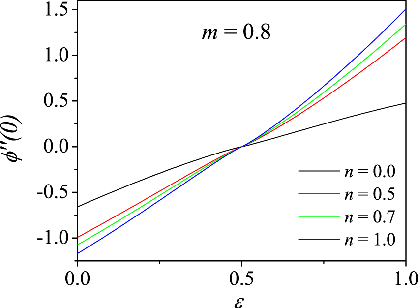
Variation of wall shear stress \(\phi {\prime\prime} \mathrm{(0)}\) with velocity ratio parameter \(\varepsilon \) for different pressure gradient parameters n for shear-thinning fluid (\(m=0.8\)).

Variation of wall shear stress \(\phi {\prime\prime} \mathrm{(0)}\) with velocity ratio parameter \(\varepsilon \) for different pressure gradient parameters n for shear-thinning fluid (\(m=0.8\)).