Figure 5

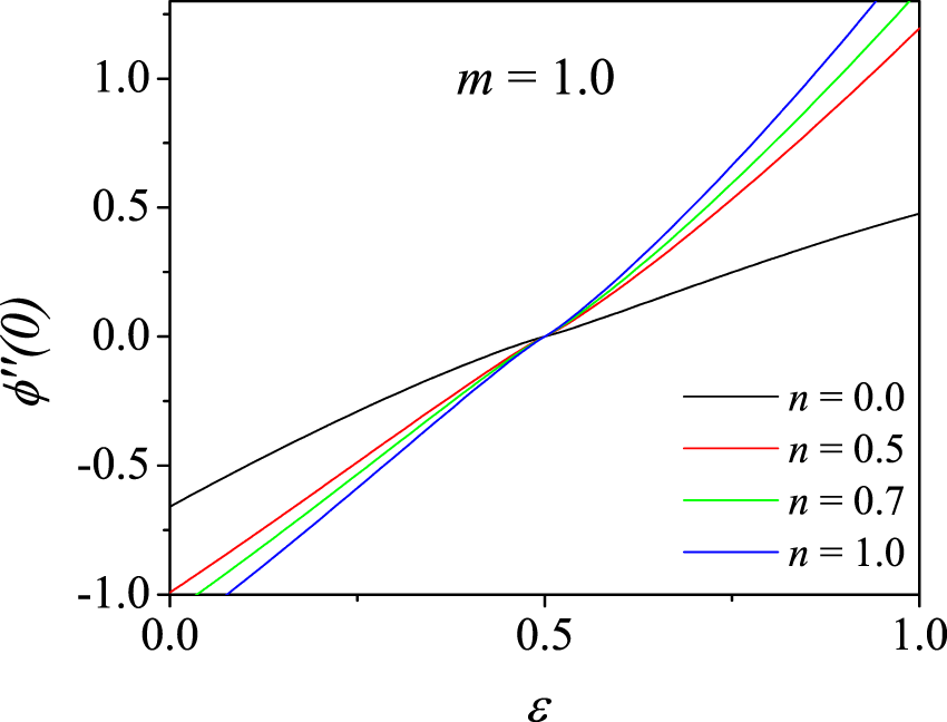
Variation of wall shear stress \(\phi {\prime\prime} \mathrm{(0)}\) with velocity ratio parameter \(\varepsilon \) for different pressure gradient parameters n for Newtonian fluid (\(m=1.0\)).

Variation of wall shear stress \(\phi {\prime\prime} \mathrm{(0)}\) with velocity ratio parameter \(\varepsilon \) for different pressure gradient parameters n for Newtonian fluid (\(m=1.0\)).