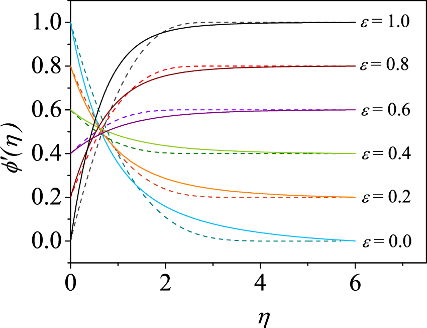
Figure 8

Velocity profiles for some representative values of \(\varepsilon \in [0,1]\) for shear-thinning (\(m=0.6\), solid) and shear-thickening (\(m=1.4\), dashed) power-law fluid for pressure gradient parameter \(n=0.5\).

Velocity profiles for some representative values of \(\varepsilon \in [0,1]\) for shear-thinning (\(m=0.6\), solid) and shear-thickening (\(m=1.4\), dashed) power-law fluid for pressure gradient parameter \(n=0.5\).