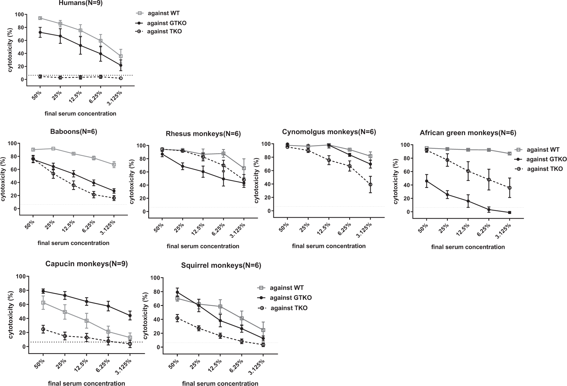
Figure 2

Comparison of mean serum CDC (at serum concentrations of 50% to 3.125%) of human (n = 9), baboon (n = 6), rhesus (n = 6), cynomolgus (n = 6), African green (n = 6), capuchin (n = 9), and squirrel (n = 6) monkeys against WT, GTKO, and TKO pig PBMCs. Cytotoxicity is expressed as mean ± SEM. On the y axis, the dotted line represents cut-off value of cytotoxicity (6.4%).