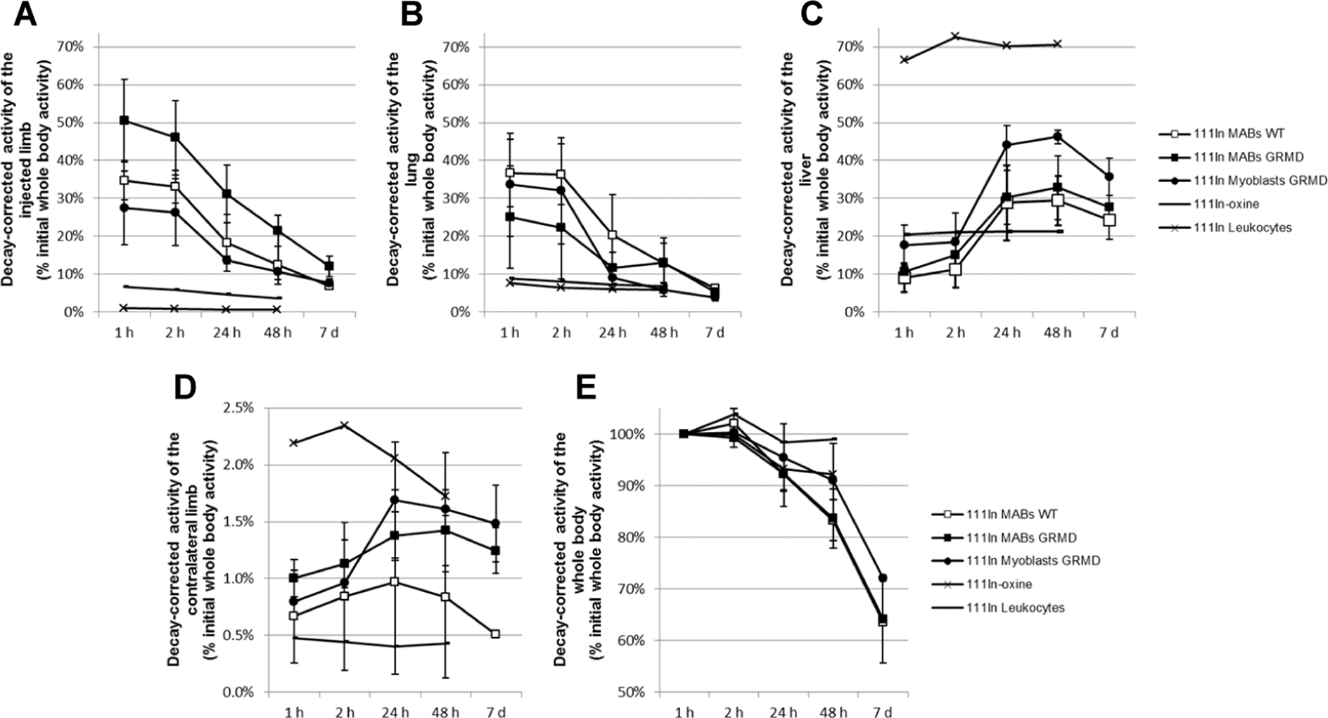
Figure 3
From: In vivo stem cell tracking using scintigraphy in a canine model of DMD

Monitoring of the biodistribution over time. The radioactivity of each of the ROI was expressed as a percentage of the initial whole-body activity, after decay correction, and is represented over time for each of the groups. (A) Injected limb. Note the rapid decrease of radioactivity in all dogs injected with myogenic stem cells. (B) Lung. Note the rapid decrease of radioactivity in dogs injected with myogenic stem cells, to reach values below 10% 7 days post-injection. (C) Liver. Note the high value observed in the dog injected with 111In-oxine-labelled leukocytes and the stable levels, around 20%, observed in the dog injected with 111In-oxine. A marked increase in radioactive signal is seen in the two days after injection in the dogs injected with myogenic stem cells, particularly the GRMD dogs injected with MABs. (D) Contralateral limb. The Y axis scale has been modified to fit in the low values of radioactivity measured in this ROI. Initially the highest values were obtained in the dog injected with 111In-oxine due to a skeletal tropism. In the dogs injected with myogenic stem cells, the radioactivity increased during the first 24 hours after injection to decrease again thereafter. (E) Whole body. This graph illustrates the stability of the signal, i.e. the excretion of 111In. In the case of the 111In-oxine-labelled leukocytes, the decay-corrected signal remained stable, meaning that the radioactivity remained in the cells and was not excreted. Conversely, in the case of dogs injected with myogenic stem cells, 111In was markedly excreted, this excretion was also observed in the dog injected with 111In-oxine, suggesting prominent leakage of 111In from the myogenic stem cells.