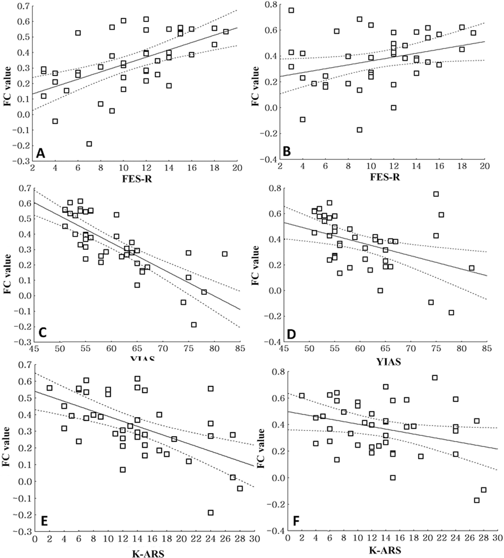
Figure 3

Correlations between FC values from the left cingulate to both lentiform nuclei in adolescents with IGD (A) Correlation between the functional connectivity (FC) values from the left cingulate to the left lentiform nucleus and the Family Environmental Scale-relationship domain (FES-R) scores in subjects with internet gaming disorder (IGD) (r = 0.56, p < 0.01). (B) Correlation between the FC values from the left cingulate to the right lentiform nucleus and the Family Environmental Scale-relationship domain (FES-R) scores in adolescents with IGD (r = 0.32, p = 0.04). (C) Correlation between the FC values from the left cingulate to the left lentiform nucleus and the Young Internet Addiction scale (YIAS) scores in adolescents with IGD (r = −0.67, p < 0.01). (D) Correlation between the FC values from the left cingulate to the right lentiform nucleus and the Young Internet Addiction scale (YIAS) scores in adolescents with IGD (r = −0.41, p < 0.01). (E) Correlation between the FC values from the left cingulate to the left lentiform nucleus and the Korean version of DuPaul’s ADHD Rating Scale (K-ARS) cores in adolescents with IGD (r = −0.55, p < 0.01). (F) Correlation between the FC values from the left cingulate to the right lentiform nucleus and the Korean version of DuPaul’s ADHD Rating Scale (K-ARS) cores in adolescents with IGD (r = −0.31, p < 0.01).