Figure 1

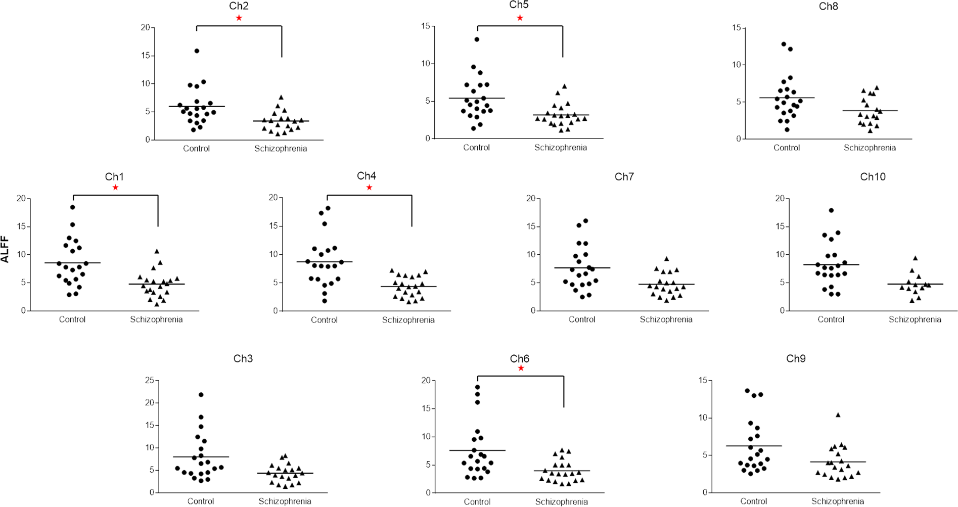
Comparison of the ALFF between patients with schizophrenia and healthy controls on 10 channels of NIRS. The ALFF was significantly decreased on ch1, ch2, ch4, ch5, and ch6 of patients with schizophrenia. *p ≤ 0.005.

Comparison of the ALFF between patients with schizophrenia and healthy controls on 10 channels of NIRS. The ALFF was significantly decreased on ch1, ch2, ch4, ch5, and ch6 of patients with schizophrenia. *p ≤ 0.005.