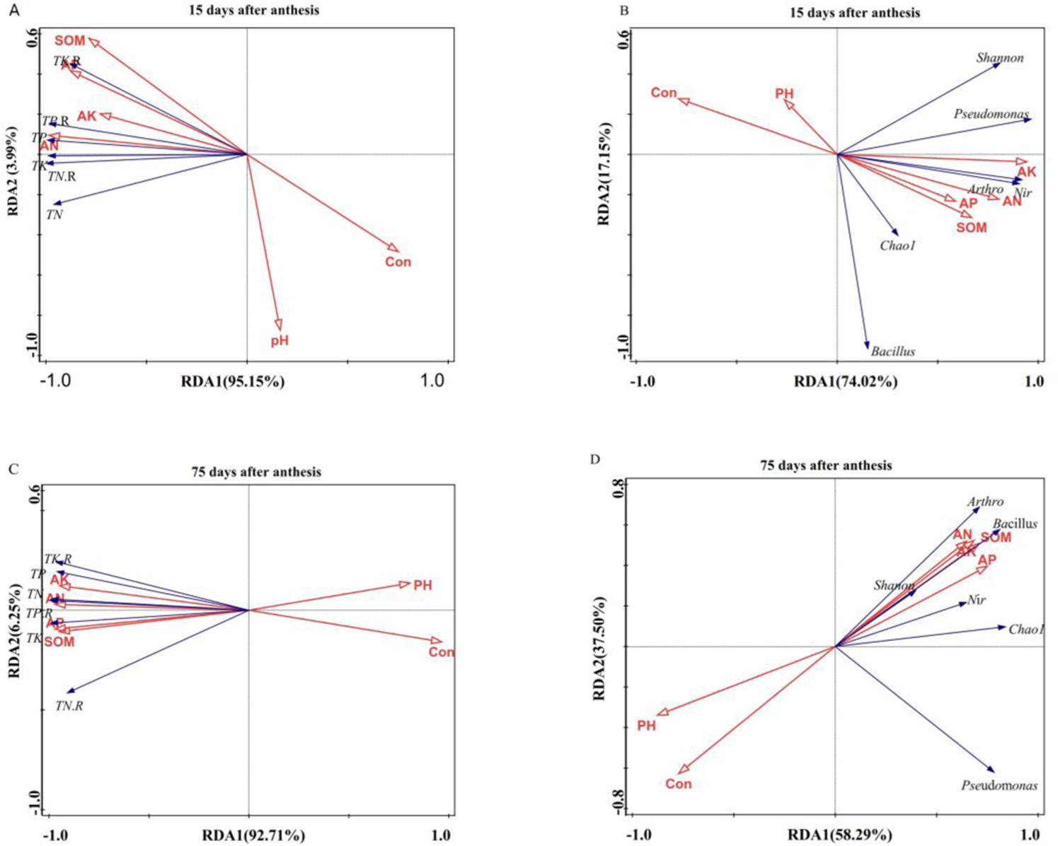
Figure 3

Redundancy analyses depicting the relationships among grape rhizosphere soil properties, the bacterial community in the grape rhizosphere soil and mineral element contents of grape roots and leaves. The relationships between the mineral element contents of grape roots and leaves and the grape rhizosphere soil properties (A,C). The relationships between the bacterial community in the grape rhizosphere soil and the grape rhizosphere soil properties (B,D). TN.R: total N in grape roots, TP.R: total P in grape roots, TK.R: total K in grape roots, TN: total N in grape leaves, Con: conductivity, Nir: Nitrosopira, Arthro: Arthrobacter.