Figure 3

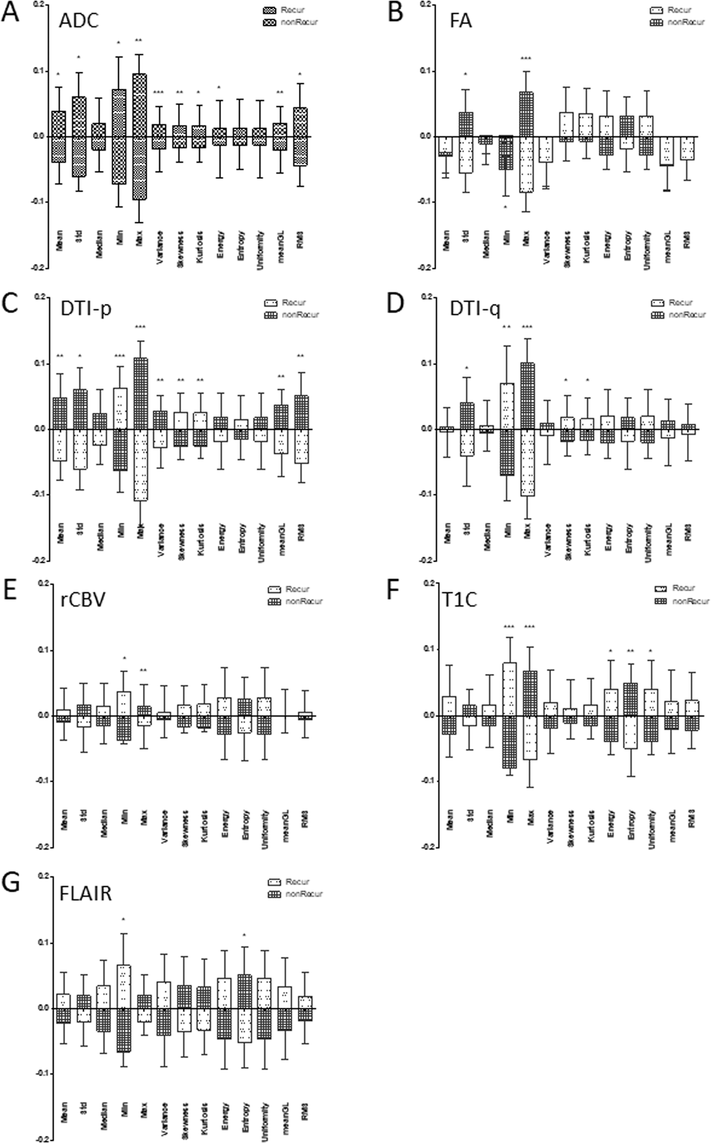
First order radiomics features. Comparison of the first order radiomics features between progression and non-progression area. *p < 0.05; **p < 0.01; ***p < 0.001.

First order radiomics features. Comparison of the first order radiomics features between progression and non-progression area. *p < 0.05; **p < 0.01; ***p < 0.001.