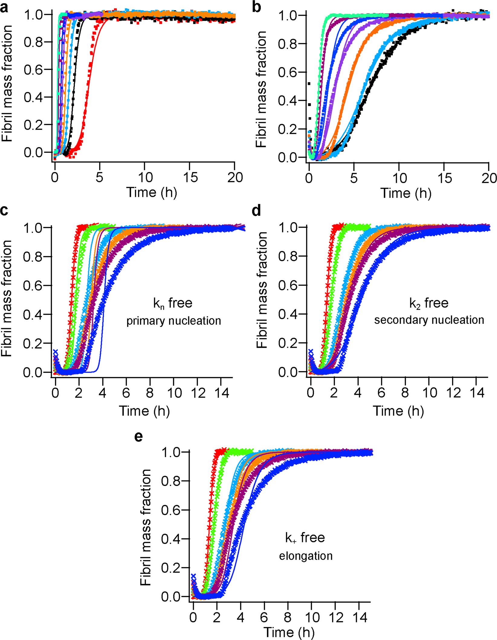
Figure 6

Aggregation kinetics of Aβ42 in the presence and absence of rh Bri3 BRICHOS. (a-b) Global fits (solid lines) of aggregation traces (dots) with different Aβ42 concentrations from 1.5 (red), 2.0 (black), 2.5 (cyan), 3.0 (orange), 4.0 (purple), 5.0 (blue), 7.0 (dark red) to 9 (green) µM in the absence (a) or in the presence (b) of 3 µM rh Bri3 BRICHOS, where \(\sqrt{{k}_{n}{k}_{+}}\) and \(\sqrt{{k}_{+}{k}_{2}}\) are constrained to the same value across all concentrations. (a) Aβ42 alone, \(\,\sqrt{{k}_{n}{k}_{+}}\) = 6.4 ±0.16 M−1 S−1, \(\sqrt{{k}_{+}{k}_{2}}\) = 2.74 × 105 ± 8.5 M−3/2 S−1, χ2 =4.1. (b) Aβ42 with rh Bri3 BRICHOS, \(\,\sqrt{{k}_{n}{k}_{+}}\) = 10.8 ± 0.53 M−1 S−1, \(\sqrt{{k}_{+}{k}_{2}}\) = 0.4 × 105 ± 413 M−3/2 S−1, χ2 =2.3. (c-e) Aggregation kinetics of 3 µM Aβ42 in the presence of different molar ratios of rh Bri3 BRICHOS (Aβ42:rh Bri3 BRICHOS): 1:0 (red), 1:0.1 (green), 1:0.3 (cyan), 1:0.5 (orange), 1:0.7 (plum) and 1:1 (blue). The global fits (solid lines) of the aggregation traces (crosses) were constrained such that only one single rate constant is the free fitting parameter. χ2 values describing the quality of the fits are 13.69 for kn free, 0.68 for k2 free and 2.79 for k+ free, respectively.