Figure 9

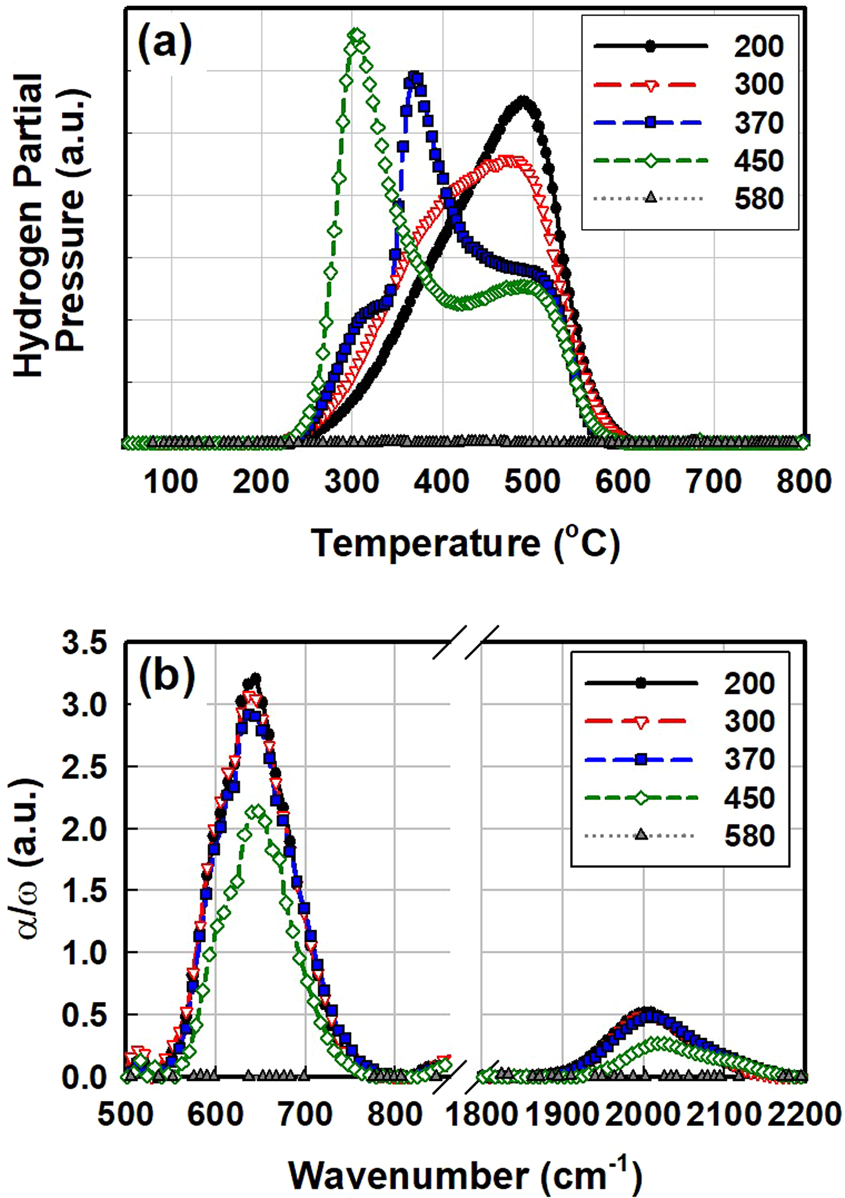
(a) Hydrogen exodiffusion result and (b) FTIR absorption spectra of a-Si:H fabricated via PECVD at 200, 300, 370, and 450 °C and poly-Si fabricated via LPCVD at 580 °C.

(a) Hydrogen exodiffusion result and (b) FTIR absorption spectra of a-Si:H fabricated via PECVD at 200, 300, 370, and 450 °C and poly-Si fabricated via LPCVD at 580 °C.