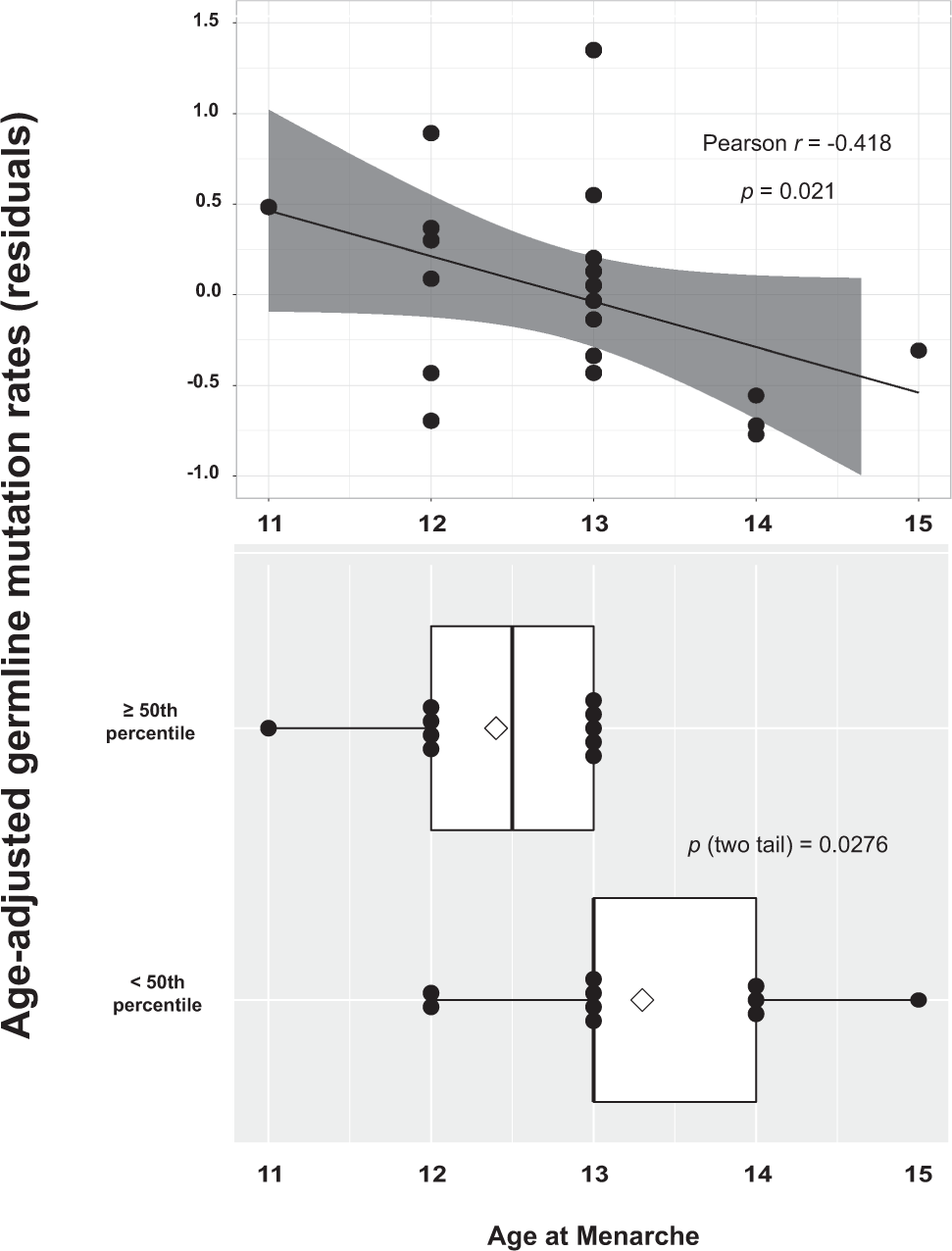
Figure 4
From: Germline mutation rates in young adults predict longevity and reproductive lifespan

Effects of age at menarche on germline mutation rates in 20 Generation I women. Top panel: linear regression of age at menarche vs. AAMR showing that older ages at menarche are associated with lower AAMRs, Pearson correlation coefficient r = −0.418, p value = 0.021. Bottom panel: box plot of age at menarche by two categories of AAMRs, <50th percentile (<0.0095) and ≥50th percentile (≥0.0095), showing that the mean age at menarche for women in the bottom half for AAMRs (13.3 years) was significantly higher than the mean age at menarche for women in the top half for AAMRs (12.4 years), by a two-tail t test (p = 0.0276). Diamonds mark the mean ages of menarche.