Figure 6

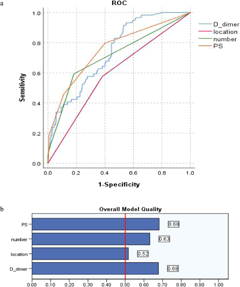
(a,b) The sensitivity and FPR of randomized 1 weight variable as new co-variable in predicting PICC associated thrombus by ROC and the overall model quality (OMQ).

(a,b) The sensitivity and FPR of randomized 1 weight variable as new co-variable in predicting PICC associated thrombus by ROC and the overall model quality (OMQ).