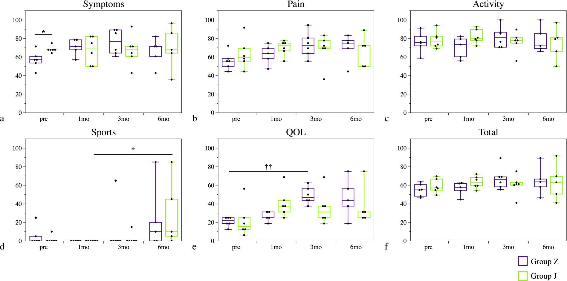
Figure 5

KOOS sub-scores and KOOS total score. Symptoms sub-score before PRP treatment differed significantly between groups Z and J. In group Z, the QOL sub-score at 3 months improved significantly compared with the sub-score before PRP treatment (P = 0.007). In group J, sports sub-scores improved significantly between 1 and 6 months after treatment (P = 0.020). The plots illustrate median values (middle lines), interquartile ranges (boxes), 1.5 IQR (whiskers) and outliers (dots). *indicates significant difference between group Z and group J. †indicates difference between follow-up time points in each group. *P < 0.05, **P < 0.01, †P < 0.05, ††P < 0.01.