Figure 3
From: Collective Dynamics of Model Pili-Based Twitcher-Mode Bacilliforms

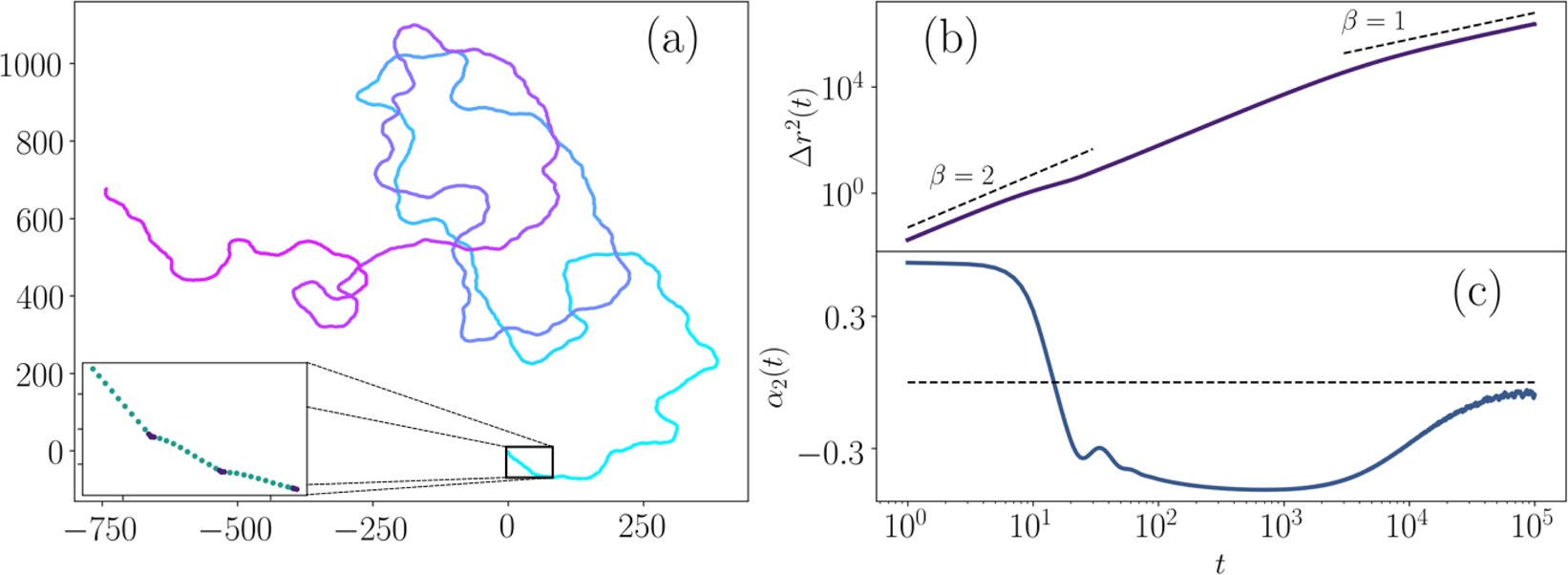
Solitary twitcher dynamics. (a) Example trajectory. (Inset) Short time showing resting/extension and retraction phases. (b) Mean squared displacement \(\Delta {r}^{2}\sim {t}^{\beta }\), with propulsive behavior (\(\beta \approx 2\)) at short/intermediate times and diffusive behavior (\(\beta \approx 1\)) at long times. (c) Non-Gaussian parameter \({\alpha }_{2}(t)\), which is zero for Gaussian statistics, \(\mathrm{ < 0}\) when there are fewer large displacements than a normal distribution with the same second moment, and \(\mathrm{ > 0}\) when there are more.