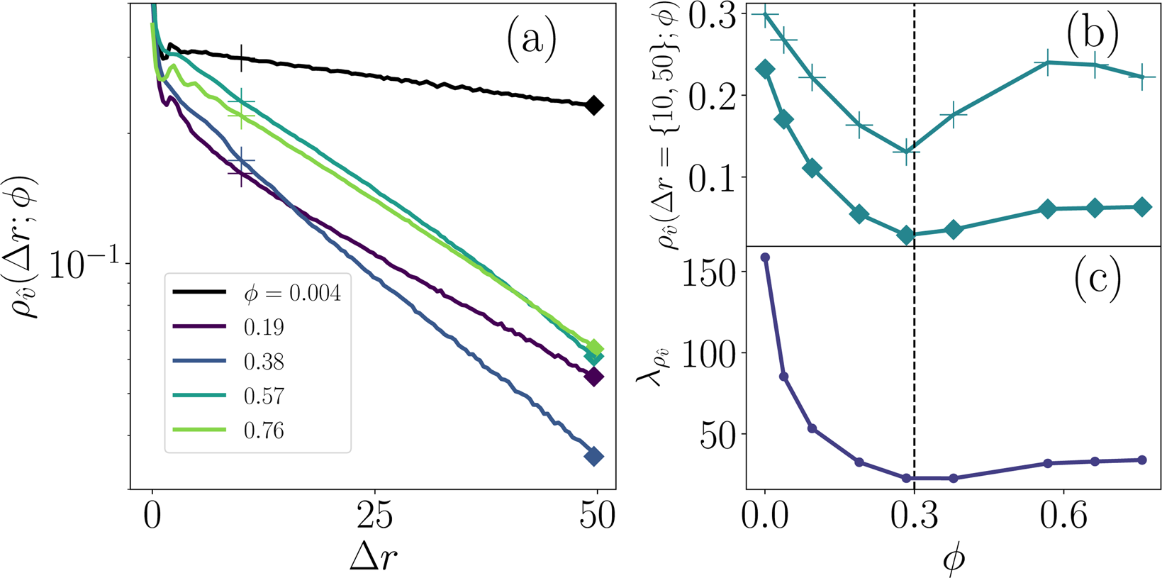
Figure 8
From: Collective Dynamics of Model Pili-Based Twitcher-Mode Bacilliforms

Individual auto-correlation (IAC) within an ensemble. (a) IAC function \({\rho }_{\hat{v}}(\Delta r;\phi )\) of the direction of motion of an individual twitcher. (b) \({\rho }_{\hat{v}}(\Delta r;\phi )\) for two values of distance traveled \(\Delta r(t)=\{10,50\}\) as a function surface coverage ϕ. Markers denote \(\Delta r=10\) (+) and Δr = 50 (◆) (c) Decorrelation length \({\lambda }_{{\rho }_{\hat{v}}}(\phi )\) from exponential fits to the large \(\Delta r\) decay of the IAC functions.