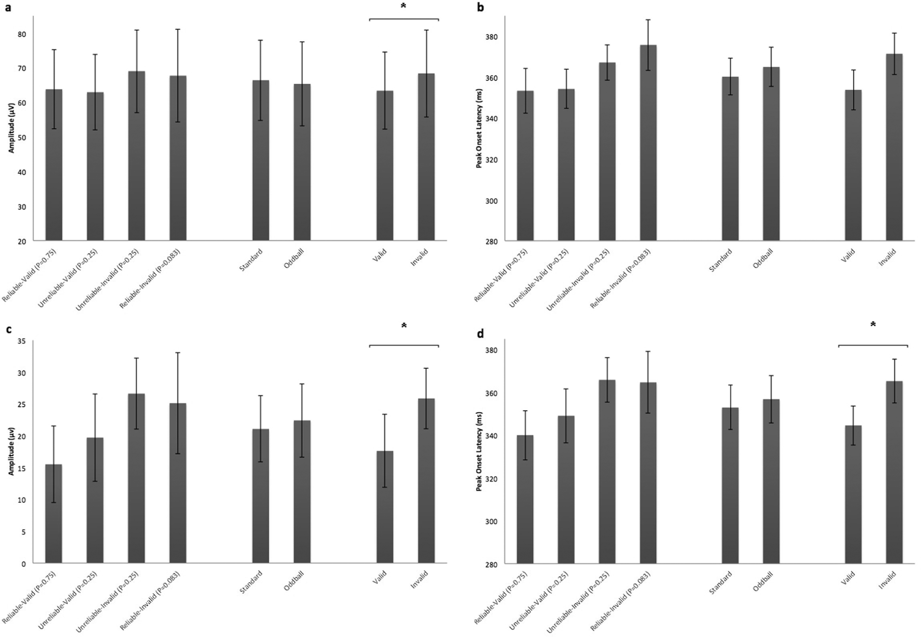
Figure 6
From: P300 response modulation reflects breaches of non-probabilistic expectations

Graph bars depicting mean P300 amplitude and latency for target location probability, target validity probability and target validity hypotheses in the mixed design (a and b respectively) and in the blocked design (c and d respectively). Error bars represent standard errors of the means. *: p < 0.05.