Figure 10
From: Correlation analysis of land surface temperature and topographic elements in Hangzhou, China

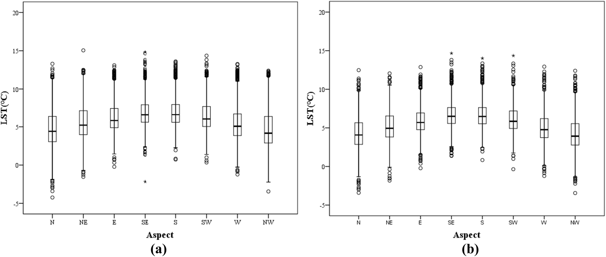
Statistical results of the analysis of the LST of different aspects in the research area. The upper and lower black lines represent the maximum and minimum values, respectively. The third and fourth quantiles are represented by the upper and lower boundaries of the rectangle, respectively. The black line inside the rectangle represents the median, and the dots represent the outliers. (a) The results of the statistical analysis between the LST and aspect, while (b) The results of the statistical analysis between the LST and aspect without the influence of the interfering factors.