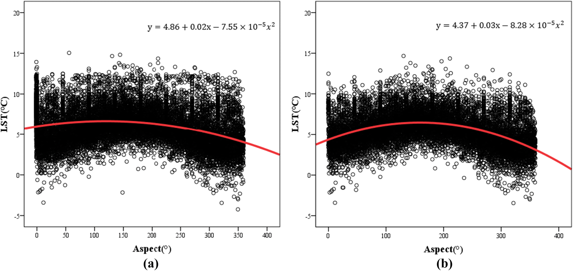
Figure 11
From: Correlation analysis of land surface temperature and topographic elements in Hangzhou, China

Regression analysis of LST and aspect in the study area. (a) The results of the regression analysis of LST and aspect. (b) The results of the regression analysis of LST and aspect without the influence of the interfering factors.