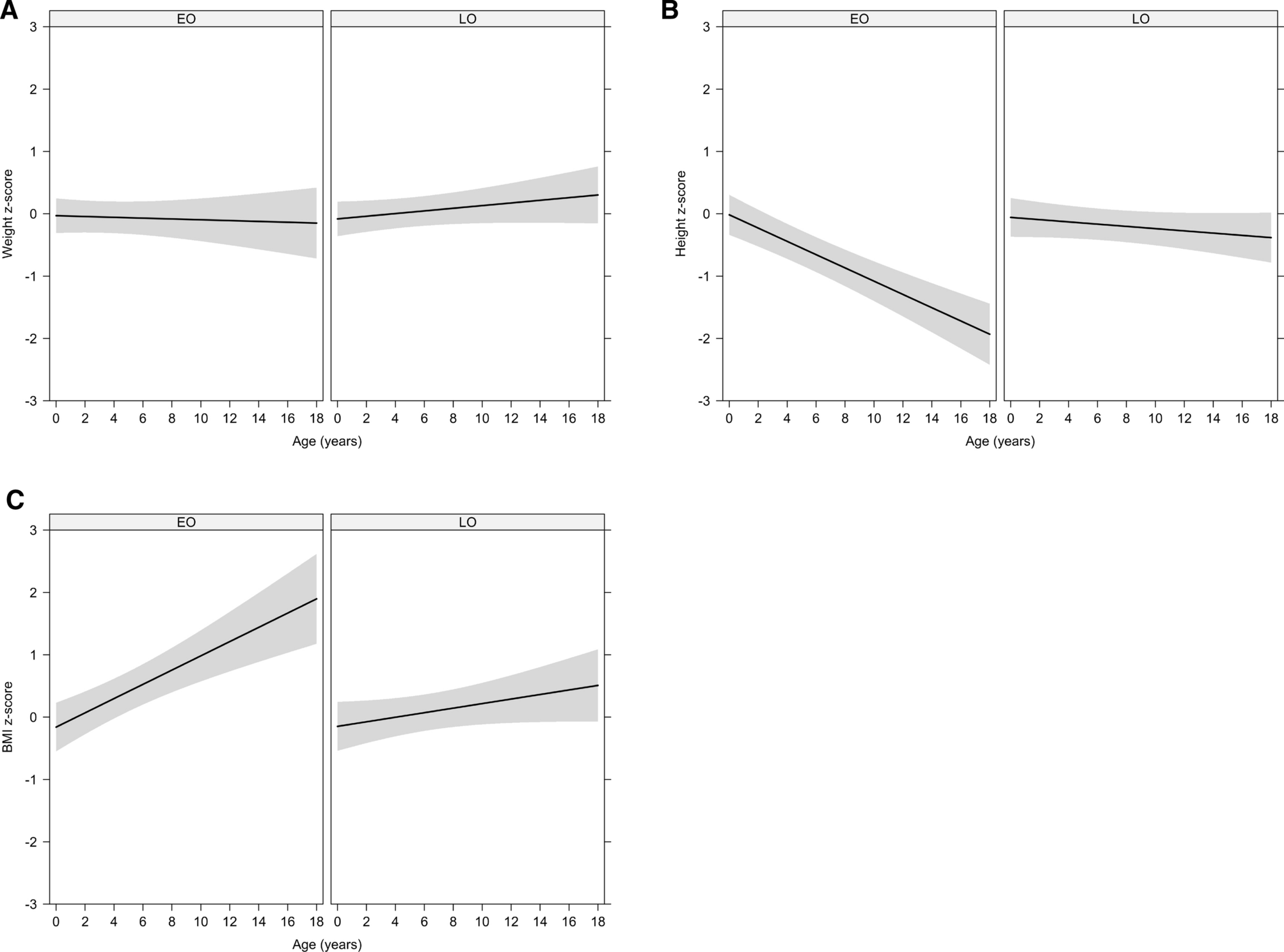
Figure 3

Symptomatic individuals (n = 130) have normal weight development but abnormal linear growth. Prepubertal children were observed during a period of approximately 5 years. Weight (A) was not affected neither by age (p = 0.41; LME ANOVA), nor by disease onset (p = 0.77; LME ANOVA) or specific diseases (p = 0.71; LME ANOVA). β-Coefficients did not differ between EO (β = − 0.01) and LO (β = 0.02; p = 0.23, LME) individuals. Height (B) however, was affected by age (p < 0.001; LME ANOVA), disease onset (p = 0.03; LME ANOVA) and interaction of both (p < 0.001; LME ANOVA), suggesting that disease severity—as reflected by EO individuals—is associated with impaired growth over time. In line, β-coefficients differed between EO (β = − 0.11) and LO (β = − 0.02; p < 0.001, LME) individuals. Accordingly, BMI (C) was determined by age (p < 0.001; LME ANOVA) and interaction between age and disease onset (p = 0.02; LME ANOVA), indicating that BMI increases with age for the EO but not the LO group. Gray lines are fitted weight, height, and BMI values from the LME model; the gray shaded area corresponds to 95% confidence interval. Descriptive characteristics are presented separately in Supplementary Table S1. BMI, body mass index; EO, early onset; LO, late onset.