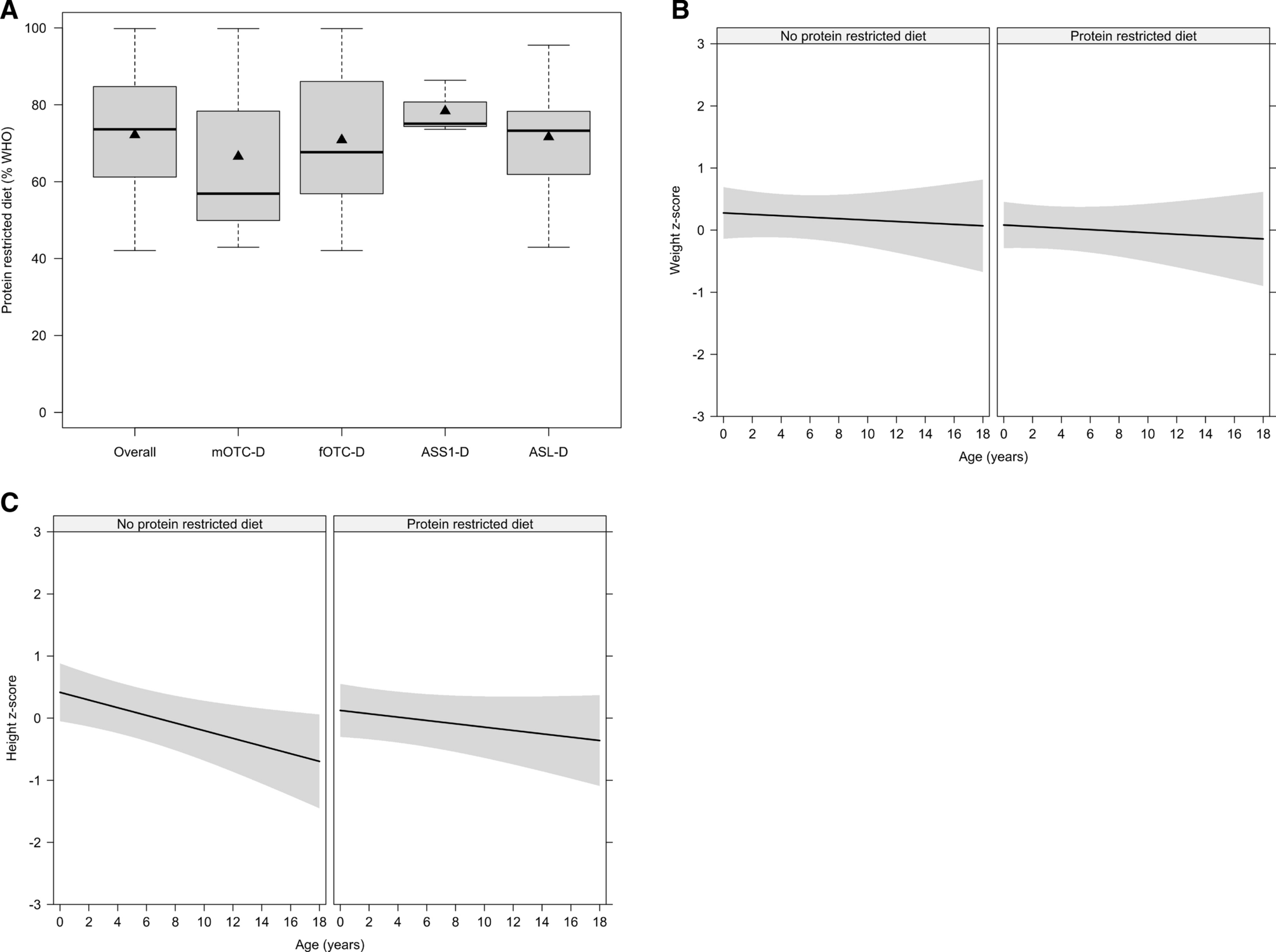
Figure 4

Impaired growth is not associated with the use of protein restricted diet as part of medical management in 46 symptomatic UCDs. Preschool children receiving a protein restricted diet were similarly restricted (p = 0.28; ANOVA) with regard to their mean natural protein intake. Data are shown as median (black line) and mean (triangle), length of the box corresponds to IQR, upper and lower whiskers correspond to max. 1.5 × IQR (A). During an observation period of approximately 3 years individuals with (n = 23) or without (n = 23) a protein restricted diet did not differ (each p > 0.05; LME ANOVA) with regard to their normal weight development (B) and impaired linear growth (C). β-coefficients did not differ between individuals with or without a protein restricted diet neither for weight development (protein restricted diet: β = − 0.01, no protein restricted diet: β = − 0.01; p = 0.98, LME; B) nor for linear growth (protein restricted diet: β = − 0.03; no protein restricted diet: β = − 0.06; p = 0.28; LME; C). Gray lines are fitted weight and height values from the LME model; the gray shaded area corresponds to 95% confidence interval (B, C). Descriptive characteristics are presented separately in Supplementary Table S1. ASL-D, argininosuccinate lyase deficiency; ASS1-D, argininosuccinate synthetase 1 deficiency; fOTC-D, female ornithine transcarbamylase deficiency; mOTC-D, male ornithine transcarbamylase deficiency.