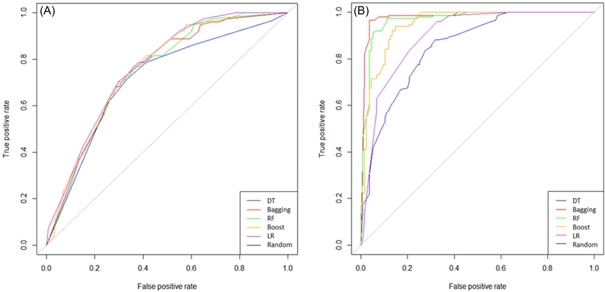
Figure 1

Comparison of ROC curves for the five MLT-based lung cancer models using the cross-validation test set. DT, decision tree; RF, random forest; Boost, AdaBoost; LR, logistic regression. (A) Model from feature set 1, (B) Model from feature set 2.