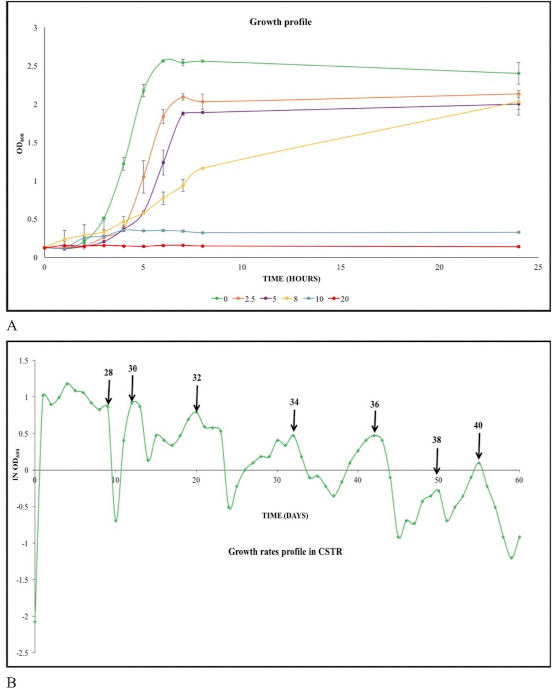
Figure 1

(A) Growth rate studies in static flasks. The native L. lactis NZ9000 strain was grown in GM17 media containing (0–20) g/l of isobutanol to check its level of tolerance. The graph shows a drop in both the specific growth rate as well as final OD600 values with increasing concentrations of isobutanol in the media. (B) Adaptive laboratory evolution in CSTR. The native NZ9000 strain was initially grown in GM17 broth containing 8 g/l of isobutanol in the CSTR. The arrows show the concentration of isobutanol in the feed as it was gradually increased from 28 to 40 g/l. The graph demonstrates the fast evolution of cells to reach a tolerance level of 28 g/l isobutanol followed by a slower evolution to higher concentrations where there were many instances when growth slowed down significantly as can be seen by multiple drops in the lnOD600 profile. At these points feed was temporarily stopped to allow biomass recovery and then restarted. Clearly each such stop-start cycle helped in the emergence of a more tolerant phenotype since no washout was subsequently observed, thus allowing us to further increase the isobutanol concentration in the feed, till the next cycle.