Figure 2
From: Comparing and phylogenetic analysis chloroplast genome of three Achyranthes species

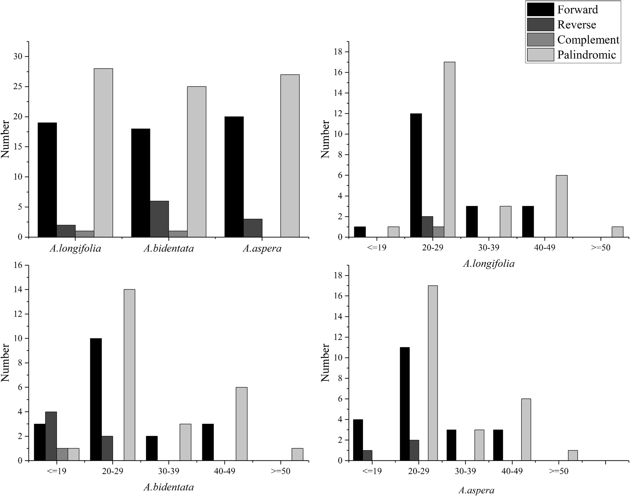
Analysis of repeated sequences in three Achyranthes chloroplast genomes.
From: Comparing and phylogenetic analysis chloroplast genome of three Achyranthes species

Analysis of repeated sequences in three Achyranthes chloroplast genomes.