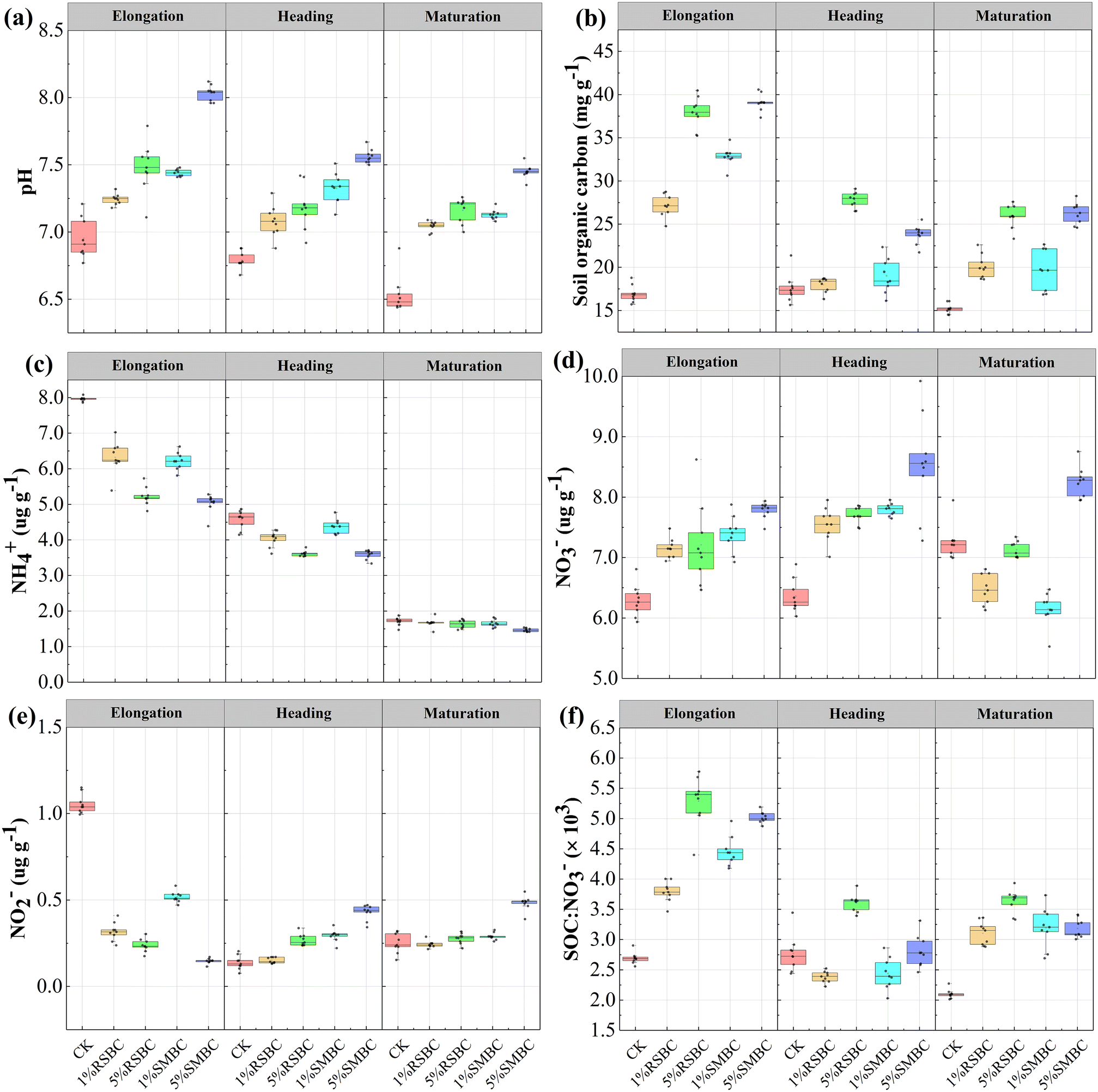
Figure 1
From: Effect of rice straw and swine manure biochar on N2O emission from paddy soil

Soil physiochemical parameters during rice growth among treatments. (a), soil pH; (b), soil organic carbon; (c), soil NH4+ concentration; (d), soil NO3− concentration; (e), soil NO2− concentration; (f), rate of soil SOC: NO3−.