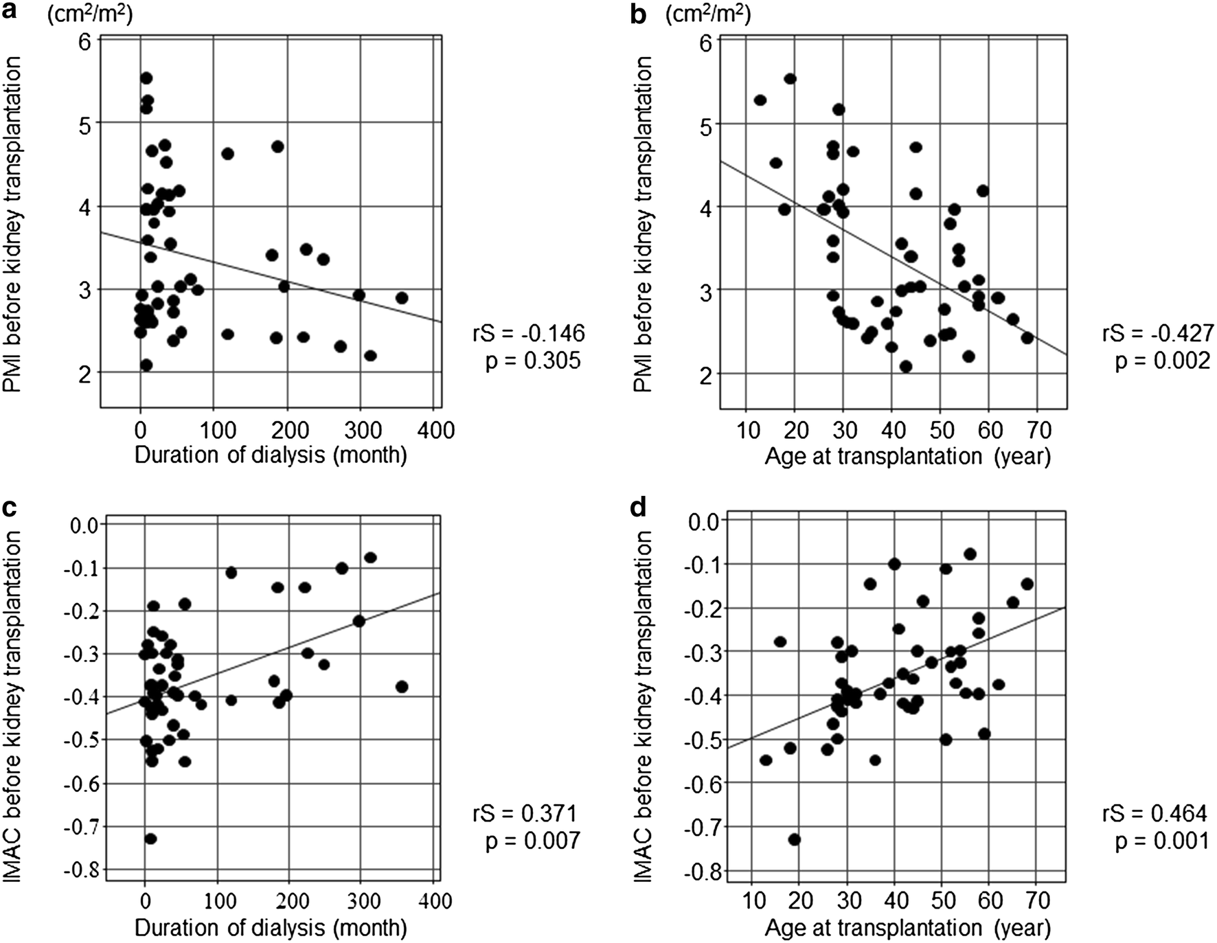
Figure 1

Relationships between PMI and IMAC before kidney transplantation, duration of dialysis and age at transplantation. (a) PMI before kidney transplantation did not correlate with the duration of dialysis (rS = − 0.146, p = 0.305, according to Spearman’s rank coefficient). (b) PMI before kidney transplantation negatively correlated with age at transplantation (rS = − 0.427, p = 0.002, according to Spearman’s rank coefficient). (c, d) IMAC before kidney transplantation positively correlated with the duration of dialysis and age at kidney transplantation (rS = 0.371, p = 0.007 and rS = 0.464, p = 0.001, respectively, according to Spearman’s rank coefficient). PMI psoas muscle mass index, IMAC intramuscular adipose tissue content.